【力扣-二叉树】8、二叉树的所有路径(257)

550 阅读2分钟

「这是我参与11月更文挑战的第16天,活动详情查看:2021最后一次更文挑战

257. 二叉树的所有路径

题目描述

给你一个二叉树的根节点 root ,按 任意顺序 ,返回所有从根节点到叶子节点的路径。

叶子节点 是指没有子节点的节点。   示例 1:

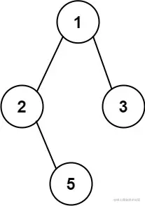
输入: root = [1,2,3,null,5]
输出: ["1->2->5","1->3"]

示例 2:

输入: root = [1]
输出: ["1"]

解析

求解路径问题

  • 递归法
    • 使用前序遍历
    • 确定递归函数的参数与返回值
    • 确定递归终止的条件
    • 单层递归的逻辑实现
  • 迭代法
    • 使用前序遍历
    • 定义存放节点的栈
    • 定义存放路径的栈
    • 迭代更新栈中的节点与路径

递归法

class Solution
{

public:
    vector<string> binaryTreePaths(TreeNode *root)
    {

        vector<string> result;
        vector<int> path;
        if (root == NULL)
        {
            return result;
        }
        traversal(root, path, result);

        return result;
    }

private:
    // 1、确定递归函数的参数与返回值
    //      参数:传入的根节点,记录的路径path ,存放结果集的result
    void traversal(TreeNode *cur, vector<int> &path, vector<string> &result)
    {
        // 将当前节点存入到path中
        path.push_back(cur->val);
        // 2、确定递归的终止条件
        //      左右孩子节点为空则说明当前节点为叶子节点,可以终止本次遍历
        if (cur->left == NULL && cur->right == NULL)
        {
            string strPath;
            // 先加入前n-1个节点,这里不包括path中的最后一个节点
            for (int i = 0; i < path.size() - 1; i++)
            {
                strPath += to_string(path[i]);
                strPath += "->";
            }

            // 加入每个路径的最后一个节点
            strPath += to_string(path[path.size() - 1]);
            result.push_back(strPath);
            return;
        }

        // 3、单层递归的逻辑
        //      采用前序遍历,所以先处理中间节点,中间节点就是要记录的路径中的节点,使用path存放
        //      然后是递归与回溯过程
        //          节点为空的时候就不进行递归与回溯了

        if (cur->left)
        {
            traversal(cur->left, path, result);
            path.pop_back(); // 回溯
        }
        if (cur->right)
        {
            traversal(cur->right, path, result);
            path.pop_back(); // 回溯
        }
    }
};

迭代法

// 迭代法
// 前序遍历
// 定义两个栈
//      一个栈用来存放 遍历路径中的节点
//      一个栈用来存放 遍历的路径
class Solution
{
public:
    vector<string> binaryTreePaths(TreeNode *root)
    {
        // 存放节点的栈
        stack<TreeNode *> nodePath;
        // 存放路径的栈
        stack<string> strPath;
        // 结果数组
        vector<string> result;
        if (root == NULL)
        {
            return result;
        }

        // 将根节点入栈
        nodePath.push(root);
        // 根节点作为路径的起点
        strPath.push(to_string(root->val));

        // 迭代
        while (!nodePath.empty())
        {
            // 取出当前节点(中)
            TreeNode *node = nodePath.top();
            nodePath.pop();

            // 取出节点对应的路径
            string path = strPath.top();
            strPath.pop();

            // 遇到叶子节点,将当前节点的路径存入到结果集中
            if (node->left == NULL && node->right == NULL)
            {
                result.push_back(path);
            }
            // 左节点
            if (node->left)
            {
                nodePath.push(node->left);
                strPath.push(path + "->" + to_string(node->left->val));
            }
            // 右节点
            if (node->right)
            {
                nodePath.push(node->right);
                strPath.push(path + "->" + to_string(node->right->val));
            }
        }
        return result;
    }
};