高频算法面试题(三十二)- 重建二叉树

460 阅读3分钟

「这是我参与11月更文挑战的第 17 天,活动详情查看:2021最后一次更文挑战

刷算法题,从来不是为了记题,而是练习把实际的问题抽象成具体的数据结构或算法模型,然后利用对应的数据结构或算法模型来进行解题。个人觉得,带着这种思维刷题,不仅能解决面试问题,也能更多的学会在日常工作中思考,如何将实际的场景抽象成相应的算法模型,从而提高代码的质量和性能

重建二叉树

题目来源LeetCode-105. 从前序与中序遍历序列构造二叉树

题目描述

给定一棵树的前序遍历 preorder 与中序遍历 inorder。请构造二叉树并返回其根节点

示例

示例 1

1.png

Input: preorder = [3,9,20,15,7], inorder = [9,3,15,20,7]
Output: [3,9,20,null,null,15,7]

示例 2

Input: preorder = [-1], inorder = [-1]
Output: [-1]

提示:

  • 1 <= preorder.length <= 3000
  • inorder.length == preorder.length
  • 3000 <= preorder[i], inorder[i] <= 3000
  • preorder 和 inorder 均无重复元素
  • inorder 均出现在 preorder
  • preorder 保证为二叉树的前序遍历序列
  • inorder 保证为二叉树的中序遍历序列

解题

解法一:递归

思路

首先我们需要知道的是,如何根据前序遍历和中序遍历来推出一棵树长什么样

根据前序遍历的结果,我们可以知道什么?

显然我们可以知道,前序遍历的第一个节点就是根节点

根据中序遍历的结果,我们可以知道什么?

我们可以知道,在中序遍历中,根节点的左边部分,都在树的左子树上。根节点的右边部分,都在树的右子树上

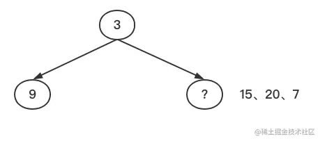
比如例一种给出

前序遍历:3,9,20,15,7
中序遍历:9,3,15,20,7

首先根据前序遍历,可以知道树的根节点是3

然后根据中序遍历,可以知道9在树的左子树上,15、20、7在树的右子树上,因此,首先第一步我们可以得出下边这样的树结构

2.png

左边只有一个节点,我们可以直接确定位置,右边有多个节点,因此我们需要继续重复上边的步骤。首先15、20、7这三个结点的前序遍历是20、15、7(从原来给的前序遍历结果中可以知道),中序遍历是15、20、7

所以可以知道这三个结点中,20是根节点,15是左子树,20是右子树

3.png 理解了上边,你会发现,非常适合用递归来实现。如果你不知道,我怎么知道一道题适合用递归来实现?可以看这篇总结

树的递归代码挺难想到的,有时候有思路也写不出来代码。个人感觉比较有效的办法就是多做二叉树的题,直接分类做,先把LeetCode的前300道题中的二叉树题刷一下,做的多了就有感觉了(当然,所有的题,并不是做一遍就行,要做到能不看答案就能写出bug free的代码,当然少不了勤总结)

代码

//构建二叉树树
func buildTree(preorder []int, inorder []int) *TreeNode {
	if len(preorder) == 0 {
		return nil
	}

	root := TreeNode{preorder[0], nil, nil}
	//找到跟结点在中序遍历结果中的位置
	i := 0
	for ; i < len(inorder); i++ {
		if preorder[0] == inorder[i] {
			break
		}
	}

	root.Left = buildTree(preorder[1:len(inorder[:i])+1], inorder[:i]) //因为切片是左闭右开的,所以需要+1
	root.Right = buildTree(preorder[len(inorder[:i])+1:], inorder[i+1:])

	return &root
}