LeetCode 环形链表

172 阅读4分钟

题目:

给你一个链表的头节点 head ,判断链表中是否有环。

如果链表中有某个节点,可以通过连续跟踪 next 指针再次到达,则链表中存在环。 为了表示给定链表中的环,评测系统内部使用整数 pos 来表示链表尾连接到链表中的位置(索引从 0 开始)。如果 pos 是 -1,则在该链表中没有环。注意:pos 不作为参数进行传递,仅仅是为了标识链表的实际情况。

如果链表中存在环,则返回 true 。 否则,返回 false 。

示例 1:

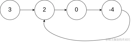
输入:

head = [3,2,0,-4], pos = 1

输出:

true

解释:

链表中有一个环,其尾部连接到第二个节点。

示例 2:

输入:

head = [1,2], pos = 0

输出:

true

解释:

链表中有一个环,其尾部连接到第一个节点。

示例 3:

输入:

head = [1], pos = -1

输出:

false

解释:

链表中没有环。  

提示:

  • 链表中节点的数目范围是 [0, 10000]
  • -100000 <= Node.val <= 100000
  • pos 为 -1 或者链表中的一个 有效索引 。

代码

class Solution {
public:
    bool hasCycle(ListNode *head) {
        unordered_set<ListNode*> seen;
        while (head != nullptr) {
            if (seen.count(head)) {
                return true;
            }
            seen.insert(head);
            head = head->next;
        }
        return false;
    }
};

思路:

最容易想到的方法是遍历所有节点,每次遍历到一个节点时,判断该节点此前是否被访问过。

具体地,我们可以使用哈希表来存储所有已经访问过的节点。每次我们到达一个节点,如果该节点已经存在于哈希表中,则说明该链表是环形链表,否则就将该节点加入哈希表中。重复这一过程,直到我们遍历完整个链表即可。

复杂度分析:

  • 时间复杂度:O(N)。
  • 空间复杂度:O(N)。

代码

class Solution {
public:
    bool hasCycle(ListNode *head) {
        if (head == NULL || head->next == NULL) 
        {
            return false;
        }
        ListNode *slow = head;
        ListNode *fast = head->next;
        while (slow != fast) 
        {
            if (fast == NULL || fast->next == NULL) 
            {
                return false;
                }
                fast = fast->next->next;
                slow = slow->next;
        }
    return true;
    }
};

思路:

假想「乌龟」和「兔子」在链表上移动,「兔子」跑得快,「乌龟」跑得慢。当「乌龟」和「兔子」从链表上的同一个节点开始移动时,如果该链表中没有环,那么「兔子」将一直处于「乌龟」的前方;如果该链表中有环,那么「兔子」会先于「乌龟」进入环,并且一直在环内移动。等到「乌龟」进入环时,由于「兔子」的速度快,它一定会在某个时刻与乌龟相遇,即套了「乌龟」若干圈。

我们可以根据上述思路来解决本题。具体地,我们定义两个指针,一快一满。慢指针每次只移动一步,而快指针每次移动两步。初始时,慢指针在位置 head,而快指针在位置 head.next。这样一来,如果在移动的过程中,快指针反过来追上慢指针,就说明该链表为环形链表。否则快指针将到达链表尾部,该链表不为环形链表。

为什么我们要规定初始时慢指针在位置 head,快指针在位置 head.next,而不是两个指针都在位置 head(即与「乌龟」和「兔子」中的叙述相同)?

  • 观察代码,我们使用的是 while 循环,循环条件先于循环体。由于循环条件一定是判断快慢指针是否重合,如果我们将两个指针初始都置于 head,那么 while 循环就不会执行。因此,我们可以假想一个在 head 之前的虚拟节点,慢指针从虚拟节点移动一步到达 head,快指针从虚拟节点移动两步到达 head.next,这样我们就可以使用 while 循环了。

  • 当然,我们也可以使用 do-while 循环。此时,我们就可以把快慢指针的初始值都置为 head。

复杂度分析

  • 时间复杂度:O(N),其中 NN 是链表中的节点数。

    • 当链表中不存在环时,快指针将先于慢指针到达链表尾部,链表中每个节点至多被访问两次。

    • 当链表中存在环时,每一轮移动后,快慢指针的距离将减小一。而初始距离为环的长度,因此至多移动 N 轮。

  • 空间复杂度:O(1)。我们只使用了两个指针的额外空间。