LeetCode 删除排序链表中的重复元素

167 阅读2分钟

存在一个按升序排列的链表,给你这个链表的头节点 head ,请你删除所有重复的元素,使每个元素 只出现一次 。 返回同样按升序排列的结果链表。

 

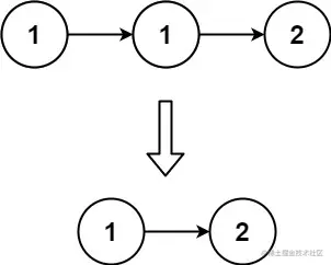
示例 1:

输入:

head = [1,1,2]

输出:

[1,2]

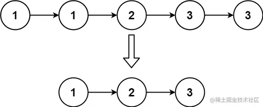
示例 2:

输入:

head = [1,1,2,3,3]

输出:

[1,2,3]  

提示:

  • 链表中节点数目在范围 [0, 300] 内
  • -100 <= Node.val <= 100
  • 题目数据保证链表已经按升序排列

代码:

class Solution {
public:
    ListNode* deleteDuplicates(ListNode* head) {
        if(head == NULL || head -> next == NULL)
            return head;
        ListNode* p = head;
        while (p->next)
        {
            if(p -> val == p -> next -> val)
                p -> next = p -> next -> next;
            else
                p = p -> next;
        }
        return head;
    }
};

思路:

由于给定的链表是排好序的,因此重复的元素在链表中出现的位置是连续的,因此我们只需要对链表进行一次遍历,就可以删除重复的元素。

具体地,我们从指针 cur 指向链表的头节点,随后开始对链表进行遍历。如果当前 cur 与 cur.next 对应的元素相同,那么我们就将 cur.next 从链表中移除;否则说明链表中已经不存在其它与 cur 对应的元素相同的节点,因此可以将 cur 指向 cur.next。

当遍历完整个链表之后,我们返回链表的头节点即可。

细节

当我们遍历到链表的最后一个节点时,cur.next 为空节点,如果不加以判断,访问 cur.next 对应的元素会产生运行错误。因此我们只需要遍历到链表的最后一个节点,而不需要遍历完整个链表。

复杂度分析:

  • 时间复杂度:O(n)。
  • 空间复杂度:O(1)。

代码:

class Solution {
public:
    ListNode* deleteDuplicates(ListNode* head) {
        if(head == NULL || head -> next == NULL)
            return head;
        head -> next = deleteDuplicates(head -> next);
        if(head -> val == head -> next -> val)
            return head -> next;
        else
            return head;
    }
};

思路:

链表具有天然的递归性,可以把一个链表看成头节点后挂接一个更短的链表,这个更短的链表看成其的头节点后面挂接一个更更短的链表,依次类推。所以可以先处理头节点后面挂接的更短的链表,处理完之后,判断原链表的头节点的值是否等于其后挂接的更短的且删除重复元素的链表的头节点的值,如果相等则直接返回更短的链表的头节点,否则将处理后的更短的链表挂在原链表的头节点的后面。

边界条件
  1. 链表为空;

  2. 链表只有头节点。