LeetCode 反转链表

237 阅读1分钟

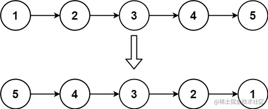
给你单链表的头节点 head ,请你反转链表,并返回反转后的链表。

示例 1:

输入:

head = [1,2,3,4,5]

输出:

[5,4,3,2,1]

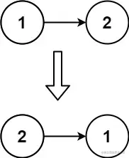
示例 2:

输入:

head = [1,2]

输出:

[2,1]

示例 3:

输入:

head = []

输出:

[]  

提示:

  • 链表中节点的数目范围是 [0, 5000]
  • -5000 <= Node.val <= 5000  

进阶:链表可以选用迭代或递归方式完成反转。你能否用两种方法解决这道题?

代码:

class Solution {
public:
    ListNode* reverseList(ListNode* head) {
        ListNode *p = NULL , *q = head;
        while(q)
        {
            ListNode *t = q -> next;
            q -> next = p;
            p = q;
            q = t ;
        }
        return p;
    }
};

思路:

假设链表为 1→2→3→∅ ,我们想要把它改成 ∅←1←2←3

在遍历链表时,将当前节点的 next 指针改为指向前一个节点。由于节点没有引用其前一个节点,因此必须事先存储其前一个节点。在更改引用之前,还需要存储后一个节点。最后返回新的头引用。

复杂度分析:

  • 时间复杂度:O(n),需要遍历链表一次。
  • 空间复杂度:O(1)。

代码:

class Solution {
public:
    ListNode* reverseList(ListNode* head) {
        if(head == NULL || head -> next == NULL)
            return head;
        ListNode *p = reverseList(head->next);
        head->next->next = head;
        head->next = NULL ;
        return p;
    }
};

思路:

递归版本稍微复杂一些,其关键在于反向工作。假设链表的其余部分已经被反转,现在应该如何反转它前面的部分?

假设链表为: n1nk1nknk+1nmn_1→…→n_{k−1}→n_k→n_{k+1}→…→n_m→∅ 若从节点 nk+1n_{k+1}nmn_m已经被反转,而我们正处于nk n_kn1nk1nknk+1nmn_1→…→n_{k−1}→n_k→n_{k+1}←…←n_m 我们希望 nk+1n_{k+1}的下一个节点指向 nkn_k。 所以,nk.next.next=nkn_k.next.next=n_k。 需要注意的是 n1n_1 的下一个节点必须指向 ∅。如果忽略了这一点,链表中可能会产生环。

复杂度分析:

  • 时间复杂度:O(n),其中 n 是链表的长度。需要对链表的每个节点进行反转操作。

  • 空间复杂度:O(n),其中 n 是链表的长度。空间复杂度主要取决于递归调用的栈空间,最多为 n 层。