leetcode_563 二叉树的坡度

231 阅读2分钟

要求

给定一个二叉树,计算 整个树 的坡度 。

一个树的 节点的坡度 定义即为,该节点左子树的节点之和和右子树节点之和的 差的绝对值 。如果没有左子树的话,左子树的节点之和为 0 ;没有右子树的话也是一样。空结点的坡度是 0 。

整个树 的坡度就是其所有节点的坡度之和。

示例 1:

image.png

输入:root = [1,2,3]
输出:1
解释:
节点 2 的坡度:|0-0| = 0(没有子节点)
节点 3 的坡度:|0-0| = 0(没有子节点)
节点 1 的坡度:|2-3| = 1(左子树就是左子节点,所以和是 2 ;右子树就是右子节点,所以和是 3 )
坡度总和:0 + 0 + 1 = 1

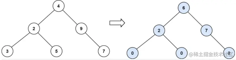
示例 2:

image.png

输入:root = [4,2,9,3,5,null,7]
输出:15
解释:
节点 3 的坡度:|0-0| = 0(没有子节点)
节点 5 的坡度:|0-0| = 0(没有子节点)
节点 7 的坡度:|0-0| = 0(没有子节点)
节点 2 的坡度:|3-5| = 2(左子树就是左子节点,所以和是 3 ;右子树就是右子节点,所以和是 5 )
节点 9 的坡度:|0-7| = 7(没有左子树,所以和是 0 ;右子树正好是右子节点,所以和是 7 )
节点 4 的坡度:|(3+5+2)-(9+7)| = |10-16| = 6(左子树值为 3、5 和 2 ,和是 10 ;右子树值为 9 和 7 ,和是 16 )
坡度总和:0 + 0 + 0 + 2 + 7 + 6 = 15

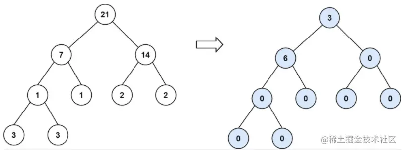
示例 3:

image.png

输入:root = [21,7,14,1,1,2,2,3,3]
输出:9

核心代码

class TreeNode:
    def __init__(self, val=0, left=None, right=None):
        self.val = val
        self.left = left
        self.right = right
        
class Solution:
    def findTilt(self, root: TreeNode) -> int:
        if not root:
            return 0
        left_val = self.helper(root.left)
        right_val = self.helper(root.right)
        tmp = abs(left_val - right_val)
        return tmp + self.findTilt(root.left) + self.findTilt(root.right)
    
    def helper(self,root):
        if not root:
            return 0
        return self.helper(root.left) + self.helper(root.right) + root.val

image.png

解题思路:我们首先对左子树或者右子树的所有值进行递归得到左右子树的值的和,然后我们递归调用自身不断向下找,得到二叉树的坡度,注意两个递归的使用。