「这是我参与11月更文挑战的第12天,活动详情查看:2021最后一次更文挑战」
160. 相交链表
题目
给你两个单链表的头节点 headA 和 headB ,请你找出并返回两个单链表相交的起始节点。如果两个链表没有交点,返回 null 。
图示两个链表在节点 c1 开始相交**:**
题目数据 保证 整个链式结构中不存在环。
注意,函数返回结果后,链表必须 保持其原始结构 。
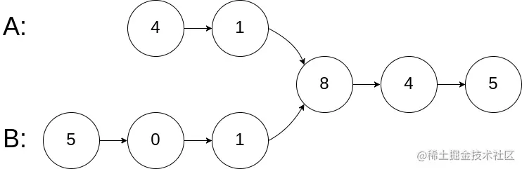
示例 1:
输入:intersectVal = 8, listA = [4,1,8,4,5], listB = [5,0,1,8,4,5], skipA = 2, skipB = 3
输出:Intersected at '8'
解释:相交节点的值为 8 (注意,如果两个链表相交则不能为 0)。
从各自的表头开始算起,链表 A 为 [4,1,8,4,5],链表 B 为 [5,0,1,8,4,5]。
在 A 中,相交节点前有 2 个节点;在 B 中,相交节点前有 3 个节点。
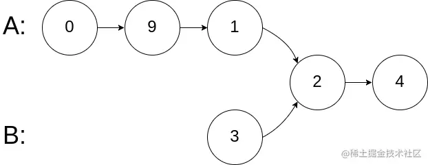
示例 2:
输入:intersectVal = 2, listA = [0,9,1,2,4], listB = [3,2,4], skipA = 3, skipB = 1
输出:Intersected at '2'
解释:相交节点的值为 2 (注意,如果两个链表相交则不能为 0)。
从各自的表头开始算起,链表 A 为 [0,9,1,2,4],链表 B 为 [3,2,4]。
在 A 中,相交节点前有 3 个节点;在 B 中,相交节点前有 1 个节点。
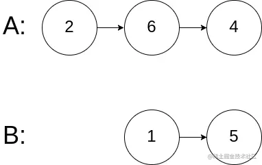
示例 3:
输入:intersectVal = 0, listA = [2,6,4], listB = [1,5], skipA = 3, skipB = 2
输出:null
解释:从各自的表头开始算起,链表 A 为 [2,6,4],链表 B 为 [1,5]。
由于这两个链表不相交,所以 intersectVal 必须为 0,而 skipA 和 skipB 可以是任意值。
这两个链表不相交,因此返回 null 。
提示:
listA中节点数目为mlistB中节点数目为n0 <= m, n <= 3 * 10^41 <= Node.val <= 10^50 <= skipA <= m0 <= skipB <= n- 如果
listA和listB没有交点,intersectVal为0 - 如果
listA和listB有交点,intersectVal == listA[skipA + 1] == listB[skipB + 1]
**进阶:**你能否设计一个时间复杂度 O(n) 、仅用 O(1) 内存的解决方案?解题思路
方法1:使用哈希集合
- 遍历链表A,将节点存入Set
- 遍历链表B,判断Set中是否已有当前节点,若有,则该节点即为相交起始节点
- 若遍历完未找到相交节点,即不相交,返回null
复杂度分析
- 时间复杂度:O(m + n),m和n分别为两条链表长度,需要遍历两条链表,故时间复杂度为O(m + n)
- 空间复杂度:O(m),m为链表A的长度,需要使用哈希集合存储链表A的所有节点
方法2:使用O(1)内存的解决方案
- 假设将链表A拼接到链表B的尾节点后面,将链表B拼接到链表A的尾节点后面,则新形成的两条链表具有相同长度
m + n(m、n分别为两条链表的长度) - 若两条链表相交,则新链表会有两个“起始交点”,且两条新链表的第二个“起始交点”后的节点数相同 又因为总长度相同,于是第二个“起始交点”前的节点数相同 故让两条新链表同时开始遍历,至第一次遇到相同节点,即为“起始交点”
- 若两条链表不相交,则遍历完两条新链表,同时为null
复杂度分析
- 时间复杂度:O(m + n),需要遍历两条链表拼接的长度
- 空间复杂度:O(1)
代码1
/**
* Definition for singly-linked list.
* function ListNode(val) {
* this.val = val;
* this.next = null;
* }
*/
/**
* @param {ListNode} headA
* @param {ListNode} headB
* @return {ListNode}
*/
var getIntersectionNode = function(headA, headB) {
const set = new Set()
let p = headA
while (p) {
set.add(p)
p = p.next
}
p = headB
while (p) {
if (set.has(p)) {
return p
}
p = p.next
}
return null
};
代码2
/**
* Definition for singly-linked list.
* function ListNode(val) {
* this.val = val;
* this.next = null;
* }
*/
/**
* @param {ListNode} headA
* @param {ListNode} headB
* @return {ListNode}
*/
var getIntersectionNode = function(headA, headB) {
if (headA === null || headB === null) {
return null
}
let p1 = headA
let p2 = headB
while (p1 !== p2) {
p1 = p1 == null ? headB : p1.next
p2 = p2 == null ? headA : p2.next
}
return p1
};
