leetcode_160 相交链表

71 阅读2分钟

要求

给你两个单链表的头节点 headA 和 headB ,请你找出并返回两个单链表相交的起始节点。如果两个链表没有交点,返回 null 。

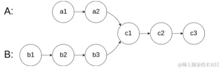
图示两个链表在节点 c1 开始相交:

image.png

题目数据 保证 整个链式结构中不存在环。

注意,函数返回结果后,链表必须 保持其原始结构 。

示例 1:

image.png

输入:intersectVal = 8, listA = [4,1,8,4,5], listB = [5,0,1,8,4,5], skipA = 2, skipB = 3
输出:Intersected at '8'
解释:相交节点的值为 8 (注意,如果两个链表相交则不能为 0)。
从各自的表头开始算起,链表 A[4,1,8,4,5],链表 B[5,0,1,8,4,5]。
在 A 中,相交节点前有 2 个节点;在 B 中,相交节点前有 3 个节点。

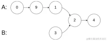
示例 2:

image.png

输入:intersectVal = 2, listA = [0,9,1,2,4], listB = [3,2,4], skipA = 3, skipB = 1
输出:Intersected at '2'
解释:相交节点的值为 2 (注意,如果两个链表相交则不能为 0)。
从各自的表头开始算起,链表 A[0,9,1,2,4],链表 B[3,2,4]。
在 A 中,相交节点前有 3 个节点;在 B 中,相交节点前有 1 个节点。

示例 3:

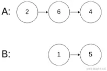
image.png

输入:intersectVal = 0, listA = [2,6,4], listB = [1,5], skipA = 3, skipB = 2
输出:null
解释:从各自的表头开始算起,链表 A[2,6,4],链表 B[1,5]。
由于这两个链表不相交,所以 intersectVal 必须为 0,而 skipA 和 skipB 可以是任意值。
这两个链表不相交,因此返回 null 。

提示:

  • listA 中节点数目为 m
  • listB 中节点数目为 n
  • 0 <= m, n <= 3 * 104
  • 1 <= Node.val <= 105
  • 0 <= skipA <= m
  • 0 <= skipB <= n
  • 如果 listA 和 listB 没有交点,intersectVal 为 0
  • 如果 listA 和 listB 有交点,intersectVal == listA[skipA + 1] == listB[skipB + 1]

核心代码

class ListNode:
    def __init__(self, x):
        self.val = x
        self.next = None

class Solution:
    def getIntersectionNode(self, headA: ListNode, headB: ListNode) -> ListNode:
        dic = {}
        p = headA
        while p:
            dic[p] = 1
            p = p.next
        p = headB
        while p:
            if p in dic:
                return p
            p = p.next
        return None 

另一解法

class ListNode:
    def __init__(self, x):
        self.val = x
        self.next = None

class Solution:
    def getIntersectionNode(self, headA: ListNode, headB: ListNode) -> ListNode:
        pa,pb = headA,headB
        la,lb = 0,0
        while pa:
            la += 1
            pa = pa.next
        
        while pb:
            lb += 1
            pb = pb.next
        
        if la < lb:
            la,lb,headA,headB = lb,la,headB,headA
        
        n = la - lb
        pa,pb = headA,headB
        while n:
            pa = pa.next
            n -= 1

        while pa:
            if pa == pb:
                return pa
            pa = pa.next
            pb = pb.next
        return None

image.png

重点问题

解题思路:

第一种解法:我们使用字典来对l1节点进行存储,当我们对l2的节点进行遍历的情况中,当扫描到字典中存在的第一个存在的节点就是相交节点,时间复杂度O(M + N),空间复杂度O(M);第二种解法(更好理解):先分别找出两个链表的长度la, lb, 这样就可以知道二者长度的差值la - lb,然后让较长的那个链表先走la - lb步,然后两个链表一起每次走一步,第一次相遇的那个节点就是交点。时间复杂度O(M + N)