leetcode_141 环形链表

43 阅读1分钟

要求

给定一个链表,判断链表中是否有环。

如果链表中有某个节点,可以通过连续跟踪 next 指针再次到达,则链表中存在环。 为了表示给定链表中的环,我们使用整数 pos 来表示链表尾连接到链表中的位置(索引从 0 开始)。 如果 pos 是 -1,则在该链表中没有环。注意:pos 不作为参数进行传递,仅仅是为了标识链表的实际情况。

如果链表中存在环,则返回 true 。 否则,返回 false 。

进阶:

你能用 O(1)(即,常量)内存解决此问题吗?

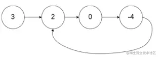
示例 1:

image.png

输入:head = [3,2,0,-4], pos = 1
输出:true
解释:链表中有一个环,其尾部连接到第二个节点。

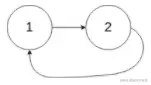
示例 2:

image.png

输入:head = [1,2], pos = 0
输出:true
解释:链表中有一个环,其尾部连接到第一个节点。

示例 3:

image.png

输入:head = [1], pos = -1
输出:false
解释:链表中没有环。

核心代码

class ListNode:
    def __init__(self, x):
        self.val = x
        self.next = None

class Solution:
    def hasCycle(self, head: ListNode) -> bool:
        record = dict()
        p = head

        while p:
            if p not in record:
                record[p] = 1
            else:
                return True
            p = p.next
        return False

另一解法

class ListNode:
    def __init__(self, x):
        self.val = x
        self.next = None

class Solution:
    def hasCycle(self, head: ListNode) -> bool:
        if not head or not head.next:
            return False
        slow,fast = head,head

        while fast:
            slow = slow.next
            fast = fast.next
            if fast:
                fast = fast.next
            if slow == fast:
                return True
        return False

image.png

解题思路:第一种解法:我们使用hashmap来记录访问过的节点,假设存在环,一定能在hashmap有记录,可用来判断是否有环;第二种解法:我们使用快慢指针的方式,若存在环,快慢指针一定会在某个时刻相遇,用来判断环。