js算法:如何判断一个链表有环

1,522 阅读2分钟

这是我参与11月更文挑战的第12天,活动详情查看:2021最后一次更文挑战

背景

学习前端三个月了,准备刷刷面试题,总结总结,一天几道面试题,向大厂进军。

问题

判断链表有环

给定一个单向链表,怎样判断这个链表中有环?

如果链表中有某个节点,可以通过连续跟踪 next 指针再次到达,则链表中存在环。 为了表示给定链表中的环,我们使用整数 pos 来表示链表尾连接到链表中的位置(索引从 0 开始)。 如果 pos 是 -1,则在该链表中没有环。注意:pos 不作为参数进行传递,仅仅是为了标识链表的实际情况。

如果链表中存在环,则返回 true 。 否则,返回 false 。

示例1:

输入: head = [3,2,0,-4], pos = 1 输出: true 解释: 链表中有一个环,其尾部连接到第二个节点。

示例2:

输入: head = [1,2], pos = 0 输出: true 解释: 链表中有一个环,其尾部连接到第一个节点。

示例3:

输入: head = [1], pos = -1 输出: false 解释: 链表中没有环。

解析:

我们先来了解链表中存在环的概念:

image.png

那我们怎么来判断链表中有环呢??

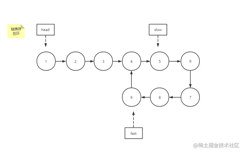
对于这个问题经典的解法就是使用“快慢指针”的方法。

就是有一个快的指针(一次走两步),一个慢的指针(一次走一步),由于fast要比slow移动的快,如果有链表存在环,fast一定会先进入环,而slow后进入环,当两个指针都进入环以后,经过一定次的循环,二者一定可以相遇。

image.png

代码:

    /**
     * Definition for singly-linked list.
     * function ListNode(val) {
     *     this.val = val;
     *     this.next = null;
     * }
     /

    /**
     * @param {ListNode} head
     * @return {boolean}
     */
    var hasCycle = function(head) {
        if (head == null || head.next == null) {
                return false;
        }
        //这里慢的为乌龟,起始点跑
        var slow=head; 
        //快的为兔子,下一个节点跑,为了防止只有两个节点的情况
        var fast=head.next;
        while(slow && fast){
            if(slow==fast){
                return true;
            }
            //乌龟一次跑一个节点
            slow=slow.next;
            //兔子每次两个节点
            fast=fast.next?fast.next.next:null;
            if(!slow || !fast){
                return false
            }
        }
    };

验证结果:

image.png

结语

一步一步慢慢来,踏踏实实把活干!