机器学习--集成学习

512 阅读4分钟

「这是我参与11月更文挑战的第11天,活动详情查看:2021最后一次更文挑战」。

注意!!多图预警!!

一.集成学习

1.1什么是集成学习

什么是集成学习.png

集成学习通过建立几个模型来解决单一预测问题。它的工作原理是生成多个分类器/模型,各自独立地学习和作出预测。这些预测最后结合成组合预测,因此优于任何一个单分类的做出预测

1.2机器学习的两个核心任务

机器学习的核心任务.png

1.3集成学习中的boosting和Bagging

boosting和bagging.png

只要单分类器的表现不太差,集成学习的结果总是要好于单分类器的。

二.Bagging

2.1Bagging的集成原理

目标:把下面的圈和方块进行分类

Bagging的集成原理.png

实现过程:

  1. 采样不同数据集

采样不同数据.png

  1. 训练分类器

训练分类器.png

  1. 平权投票,获取最终结果

平权投票.png

2.2随机森林构造过程

​ 在机器学习中,随机森林是一个包含多个决策树的分类器,并且输出的类别是由个别树输出的类别的众数而定

随机森林=Bagging+决策树

随机森林的构造.png

例如, 如果你训练了5个树, 其中有4个树的结果是True, 1个树的结果是False, 那么最终投票结果就是True。

随机森林够造过程中的关键步骤(用N来表示训练用例(样本)的个数,M表示特征数目):

1)一次随机选出一个样本,有放回的抽样,重复N次(有可能出现重复的样本)

2) 随机去选出m个特征, m <<M,建立决策树

  • 思考

    • 1.为什么要随机抽样训练集?  

      如果不进行随机抽样,每棵树的训练集都一样,那么最终训练出的树分类结果也是完全一样的

    • 2.为什么要有放回地抽样?

      如果不是有放回的抽样,那么每棵树的训练样本都是不同的,都是没有交集的,这样每棵树都是“有偏的”,都是绝对“片面的”(当然这样说可能不对),也就是说每棵树训练出来都是有很大的差异的;而随机森林最后分类取决于多棵树(弱分类器)的投票表决。

2.3随机森林api

  • sklearn.ensemble.RandomForestClassifier(n_estimators=10, criterion=’gini’, max_depth=None, bootstrap=True, random_state=None, min_samples_split=2)
    • n_estimators:integer,optional(default = 10)森林里的树木数量120,200,300,500,800,1200
    • Criterion:string,可选(default =“gini”)分割特征的测量方法
    • max_depth:integer或None,可选(默认=无)树的最大深度 5,8,15,25,30
    • max_features="auto”,每个决策树的最大特征数量
      • If "auto", then max_features=sqrt(n_features).
      • If "sqrt", then max_features=sqrt(n_features)(same as "auto").
      • If "log2", then max_features=log2(n_features).
      • If None, then max_features=n_features.
    • bootstrap:boolean,optional(default = True)是否在构建树时使用放回抽样
    • min_samples_split:节点划分最少样本数
    • min_samples_leaf:叶子节点的最小样本数
  • 超参数:n_estimator, max_depth, min_samples_split,min_samples_leaf

2.4随机森林预测案例

  • 实例化随机森林

    # 随机森林去进行预测
    rf = RandomForestClassifier()
    
  • 定义超参数的选择列表

    param = {"n_estimators": [120,200,300,500,800,1200], "max_depth": [5, 8, 15, 25, 30]}
    
  • 使用GridSearchCV进行网格搜索

    # 超参数调优
    gc = GridSearchCV(rf, param_grid=param, cv=2)
    
    gc.fit(x_train, y_train)
    
    print("随机森林预测的准确率为:", gc.score(x_test, y_test))
    

    注意:

    • 随机森林的建立过程
    • 树的深度、树的个数等需要进行超参数调优

2.5bagging集成优点

Bagging + 决策树/线性回归/逻辑回归/深度学习… = bagging集成学习方法

经过上面方式组成的集成学习方法:

  1. 均可在原有算法上提高约2%左右的泛化正确率
  2. 简单, 方便, 通用

三.Boosting

3.1 boosting集成原理

3.1.1什么是boosting

进化图.jpg

随着学习的积累从弱到强

简而言之:每加入一个弱学习器,整体能力就会得到提升

代表算法:Adaboost,GBDT,XGBoost

3.1.2实现过程

  1. 训练第一个学习器

训练数据.png

  1. 调整数据分布

调整数据分布.png

  1. 训练第二个学习器

训练第二个学习器.png

  1. 再次调整数据分布

再次调整.png

  1. 依次训练学习器,调整数据分布

第三轮调整.png

关键点

如何确认投票权重?

如何调整数据分布?

如何确认投票权重.png

如何调整数据分布.png

AdaBoost的构造过程小结

AdaBoost构造小结.png

bagging集成与boosting集成的区别

  • 区别一:数据方面

    • Bagging:对数据进行采样训练;
    • Boosting:根据前一轮学习结果调整数据的重要性。
  • 区别二:投票方面

    • Bagging:所有学习器平权投票;
    • Boosting:对学习器进行加权投票。
  • 区别三:学习顺序

    • Bagging的学习是并行的,每个学习器没有依赖关系;
    • Boosting学习是串行,学习有先后顺序。
  • 区别四:主要作用

    • Bagging主要用于提高泛化性能(解决过拟合,也可以说降低方差)
    • Boosting主要用于提高训练精度 (解决欠拟合,也可以说降低偏差)

Bagging集成.png

3.1.3 api介绍

3.2 GBDT

​ 梯度提升决策树(GBDT Gradient Boosting Decision Tree) 是一种迭代的决策树算法,**该算法由多棵决策树组成,所有树的结论累加起来做最终答案。**它在被提出之初就被认为是泛化能力(generalization)较强的算法。近些年更因为被用于搜索排序的机器学习模型而引起大家关注。

GBDT = 梯度下降 + Boosting + 决策树

3.2.1梯度

梯度.png

梯度2.png

梯度下降.png

3.2.2 GBDT执行流程

GBDT执行流程.png

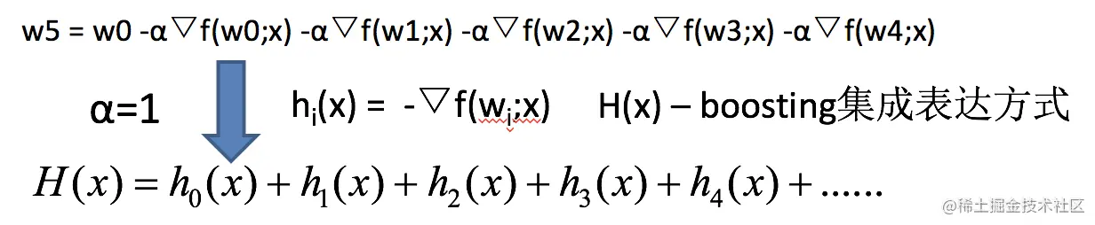
如果上式中的hi(x)=决策树模型,则上式就变为:

GBDT = 梯度下降 + Boosting + 决策树

3.2.3案例

预测编号5的身高:

编号年龄(岁)体重(KG)身高(M)
15201.1
27301.3
321701.7
430601.8
52565?

第一步:计算损失函数,并求出第一个预测值:

计算损失函数-得出预测值.png

第二步:求解划分点

求解划分点.png

得出:年龄21为划分点的方差=0.01+0.0025=0.0125

第三步:通过调整后目标值,求解得出h1(x)

调整后目标值.png

第四步:求解h2(x)

求解h(2x).png

得出结果:

得出结果.png

编号5身高 = 1.475 + 0.03 + 0.275 = 1.78

3.2.4 GBDT主要执行思想

  1. 使用梯度下降法优化代价函数;

  2. 使用一层决策树作为弱学习器,负梯度作为目标值;

  3. 利用boosting思想进行集成。

3.3 XGBoost

XGBoost= 二阶泰勒展开+boosting+决策树+正则化

  • 面试题:了解XGBoost么,请详细说说它的原理

回答要点:二阶泰勒展开,boosting,决策树,正则化

Boosting:XGBoost使用Boosting提升思想对多个弱学习器进行迭代式学习

二阶泰勒展开:每一轮学习中,XGBoost对损失函数进行二阶泰勒展开,使用一阶和二阶梯度进行优化。

决策树:在每一轮学习中,XGBoost使用决策树算法作为弱学习进行优化。

正则化:在优化过程中XGBoost为防止过拟合,在损失函数中加入惩罚项,限制决策树的叶子节点个数以及决策树叶子节点的值。

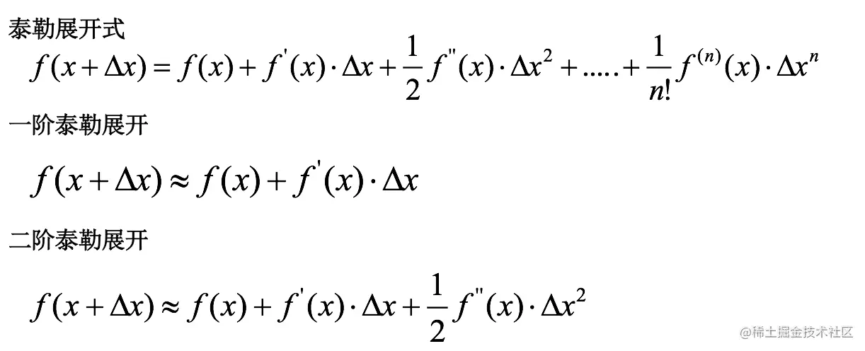
3.4泰勒展开式

泰勒展开式.png

泰勒展开越多,计算结果越精确。