self-training | 域迁移 | source-free(第二篇)

306 阅读2分钟
  • 文章转自微信公众号:机器学习炼丹术
  • 论文名称:Domain Adaptive Semantic Segmentation without Source Data
  • 会议名称:ACM MM
  • 作者:炼丹兄(欢迎交流共同进步)
  • 联系方式:微信cyx645016617

0 综述

上图展示了source-free domain adaptation和一般的DA的区别。在之前的两篇source-free的论文中已经反复讲解,不再赘述。

1 方法

这文章也是使用Positive learning和Negative Learning的方法。

  • 方法名称:Source-Free domain adaptive Semantic Segmentation (SFSS)

1.1 Notations and Definations

SFSS的训练分成两个步骤(和其他的source-free的算法一样)“

  1. 先在有标注的source data上有监督的训练;
  2. 在无标住的target data上做无监督的训练。

1.2 Positive Learning

pesudo label是半监督算法广泛使用的方法。然而通过softmax和argmax来获取的pesudo label是不可信的,因为source和target之间的域差距。一种方法是选择高置信度的伪标签,这个可以有效的去除错误的标签,但是这个会陷入“winner-takes-all” dilemma。也就是说模型会预测majority classes而忽视minority classes。

这篇文章为了解决这种imbalance,将intra-class threshold 定义为:

这个公式的官方解释:

这个公式的我的解释: 就是每一个类别,选择他们的softmax之后的预测值的前百分之K个。就是每一个类别会选择不同的阈值,保证每个类别都balnace一些

这个方法面试两个问题:

  1. The most noise labels are filtered due to the high softmax prediction confidence selection.
  2. 总是选择高置信度的标签,会导致分割模型有偏。

论文中说:会在每一个epoch的开始来更新pesudo label。

得到了pesudo label后,使用crossentropy损失来更新分割模型:

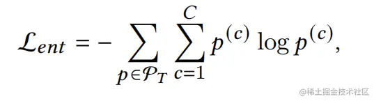
此外,我们还更新那些没有被选中的pixels,通过entropy minimization的方式。Entropy minimization已经被展示有效,在半监督分割算法和domain adaptation当中。

熵最小化可以被认为是交叉熵损失函数的soft-assignment的版本。

所以positive learning的loss就是: