这是我参与11月更文挑战的第3天
根据基的概念讨论基函数和基向量的应用。
傅里叶级数和傅里叶变换
傅里叶级数
傅里叶级数用正弦函数(sin)和余弦函数(cos)构成的无穷级数来逼近任何周期函数,对于[−π,π]上的正交函数系,正弦函数与余弦函数是正交的,因此可以选做为基函数。
对于周期为T的函数f(x),傅里叶级数通过三角函数和常数项的构成来逼近它,R表示实数域,如下所示:
f(x)=a0+n=1∑∞(ancos(T2πnx),bnsin(T2πnx)),a0∈R
其中:
an=T2∫x0x0+Tf(x)⋅cos(T2πnx)dxbn=T2∫x0x0+Tf(x)⋅sin(T2πnx)dx
可以理解为f(x)可以由基向量{1(a0),cos(T2πnx),sin(T2πnx)}的组合表示。
傅里叶变换
傅里叶级数的表示用于表达周期信息(固定的基频),而对于非周期信号(基频无穷小)则需要使用傅里叶变换来表示。
通过欧拉公式可以转换傅里叶级数,欧拉公式:
eiθ=cosθ+isinθ
可以得到:
sinθ=2ieiθ−e−iθcosθ=2eiθ−e−iθ
将其带入傅里叶级数公式可以得到:
f(x)=n=−∞∑∞cn⋅eiT2πnx
其中:cn=T1∫x0x0+T⋅e−iT2πnxdx。
傅里叶级数的基
根据上面的推倒可知,对于傅里叶级数,其基函数{hn}n=−∞∞(n为整数)可以选择为定义在区间[0,T]上的函数:
hn(x)=ei2πnx/T
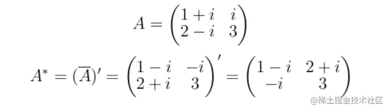
其中,i为虚数。对于复数域,取内积时后项应取其共轭转置(共轭指矩阵每个元素实部不变虚部取负,转置指矩阵行列互换,如下所示:

因此对{hn}n=−∞∞和{hj}j=−∞∞(n=j)求内积可得(基向量内积为0):
<hn,hj>=∫0Thn(x)hˉj(x)dx=∫0Tei2πnx/Te−i2πjx/Tdx=0
基函数的长度为:
∣hn∣2=<hn,hn>=T
小波分析
傅里叶针对是正弦波(即同样的振幅在无穷大空间里震荡的波),如下图所示:

小波则是一种能量有限,在时域中集中于某点附近的波,如下图所示:

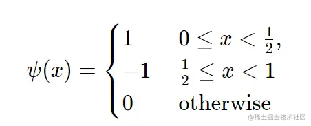
小波变换和傅里叶变换的区别在于基的不同,它将无限的三角函数基替换成了有限长会衰减的小波基,定义R空间上的函数ψ(x)为:

对于实数对n和k,存在一系列函数:
ψn,k(x)=2n/2(2nx−k),x∈R
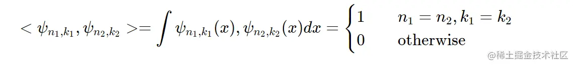
将ψ(x)乘以2n后位移2−nk,可以得到:
