一问搞定Python深拷贝和浅拷贝

1,492 阅读4分钟

这是我参与11月更文挑战的第1天,活动详情查看:2021最后一次更文挑战

一、结论

首先说结论:深拷贝出来的对象就是完完全全的新对象,不管是对象本身(id),还是对象中包含的子对象,都和原始对象不一样;

浅拷贝出来的对象就是外新内旧的对象,对象本身(id)和原始对象完全不同,但是子对象和原始对象的子对象是一样的。

再补充说下赋值,赋值来的对象就是完完全全的原始对象,只是叫的名字不同了。

二、用实际例子聊聊

深拷贝是将对象本身(A)复制给另一个对象(B)。这意味着如果对对象本身或者子对象进行更改时不会影响原对象。在 Python 中,我们使用 deepcopy()函数进行深拷贝。

浅拷贝是将对象的引用复制给另一个对象。因此,如果我们在子对象中进行更改,则会影响原对象;但对对象本身修改并不会影响原始对象。使用 copy()函数进行浅拷贝。

接下来用实际代码给大家演示下(注意下代码里的注释和输出结果):

import copy
a = [1, 2, 3, ['a', 'b']]  #原始对象

b = a  #赋值,传对象的引用
c = copy.copy(a)  #对象拷贝,浅拷贝
d = copy.deepcopy(a)  #对象拷贝,深拷贝

a.append(4)  #修改对象a
a[3].append('c')  #修改对象a中的['a', 'b']

print('a = ', a)
print('b = ', b)
print('c = ', c)
print('d = ', d)

a为原始对象,包含了四个元素,三个int和一个list;b为直接(a)赋值来的结果,c为浅拷贝(a)来的结果,d为深拷贝(a)来的结果。

然后我们对a列表进行了修改,首先添加了一个int数据(4),然后对a的第四个元素(list)进行了修改,给第四个元素列表添加了一个新元素‘c’,然后我们依次输出a、b、c、d。

通过输出结果我们可以发现直接赋值来的b和a是完全一样的,同步修改了所有,说明直接赋值来的新变量,不管是对象本身,还是对象中包含的子对象,都是一样的、完全相同;

通过浅拷贝来的对象c只是子对象的修改和a保持了一致,对象本身的修改并没有生效,说明浅拷贝是将对象本身的引用复制给新对象,但是包含的子对象还是和之前一致的;

最后通过深拷贝来的对象完全没有变化,说明深拷贝来的对象本身以及包含的子对象都完完全全是新的,和原对象没有一点关系。

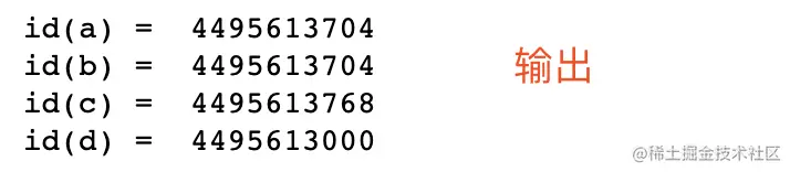
接下来为我们进一步看看,这几个对象本身的id,以及对象中第四个元素的id,也可以很好的印证我们上面的结论。

# a b是完全一样的对象;a c d 是不同的对象
print('id(a) = ', id(a))
print('id(b) = ', id(b))
print('id(c) = ', id(c))
print('id(d) = ', id(d))

# a c 内的元素是一个对象 a d 内元素也不是同一个对象
print('id(a[3]) = ', id(a[3]))
print('id(c[3]) = ', id(c[3]))
print('id(d[3]) = ', id(d[3]))

三、应用场景

那么深拷贝和浅拷贝一般引用在那些地方呢?

从数据处理的角度来看,可以应用在以下场景:

1)我们处理中间结果时往往不想对原始数据进行修改,所以这个时候可以使用深拷贝;
2)如果我们只是想新增一个辅助列(只涉及对父对象的修改),那这时我们可以使用浅拷贝,节约系统内存。

浅拷贝应用

那么深拷贝和浅拷贝一般引用在那些地方呢?

从数据处理的角度来看,可以应用在以下场景:

1)我们处理中间结果时往往不想对原始数据进行任何修改,所以这个时候可以使用深拷贝;

2)如果我们只是想新增一个辅助列(只涉及对父对象的修改),那这时我们可以使用浅拷贝,节约系统内存。

希望本文对你理解深拷贝与浅拷贝有所帮助。

欢迎大家在留言区留言说说其他深浅拷贝的实际应用吧~

我是老表,爱猫爱技术~