恒源云(GPUSHARE)_Child Tuning: 反向传播版的Dropout

5,443 阅读6分钟

文章来源 | 恒源云社区(专注人工智能/深度学习云GPU服务器训练平台,官方体验网址:gpushare.com/ )

原文地址 | bbs.gpushare.com/topic/693/c…

原文作者 | Mathor


U1S1,1年1度GPU云种草大会来袭,十大活动礼包等你来拿哦~

这篇文章主要是对EMNLP2021上的论文Raise a Child in Large Language Model: Towards Effective and Generalizable Fine-tuning进行讲解。论文标题有些抽象,但是用作者的话来说,这篇论文的思想可以归结为两个词:Child Tuning

虽然这篇文章主要针对NLP任务以及NLP相关的模型,但实际上我看完之后觉得这是一个通用的方法,CV领域也可以使用。具体来说,目前预训练模型的参数非常大,在下游任务中,我们只能用有限的训练集对模型进行微调,有一种螳臂当车的感觉,因此作者提出了一种新的微调方法——Child Tuning。如果用一句话概述其思想那就是:在反向传播过程中,我们不用更新所有的参数,只更新某些参数即可,而这些被更新的参数所对应的网络结构,我们叫做Child Network(子网络)

image.png

如上图所示,上面一行是正常的反向传播过程,其中

image.png

下标0不是指某一个参数,而是指第0个迭代过程,η\eta是学习率。对于下面一行来说,Δw0\Delta \mathbf{w}_0​有一部分被MASK掉了,导致这里面的梯度为0

image.png

其中,MMM矩阵内的元素非0即1,\odot是矩阵内的元素做对应位置相乘。我们可以用两步来概括Child Tuning的过程:

  1. 在预训练模型中发现并确认Child Network,并生成对应Weights的0-1 MASK
  2. 反向传播计算完梯度后,仅对Child Network中的参数进行更新

所以现在的问题是如何确认Child Network?

HOW TO FIND CHILD NETWORK?

实际上我们并不需要真的找到Child Network,只要确定矩阵MMM即可。论文提供了两种算法用于生成矩阵MM,分别是任务无关算法Child_Tuning_F (F for Task-Free)以及与具体任务相关的算法Child_Tuning_D (D for Task-Drivern)

Child_Tuning_F

任务无关算法的意思是与你具体所做的具体任务没有关系,都可以使用这个算法,是一种通用的方法。具体来说,此时MMM是根据伯努利分布生成的

image.png

其中pF[0,1]p_F∈[0,1]是一个超参数,他控制着Child Network的大小,如果pF=1p_F=1,则Child Network就是原网络,此时Child Tuning就是Fine Tuning;如果pF=0p_F=0,则没有任何参数会被更新。下面是我写的一个简单模拟的代码帮助大家理解

import torch
from torch.distributions.bernoulli import Bernoulli

gradient = torch.randn((3, 4)) # 这里用一个随机生成的矩阵来代表梯度
p_F = 0.2
gradient_mask = Bernoulli(gradient.new_full(size=gradien.size(), fill_value=p_F))
gradient_mask = gradient_mask.sample() / p_F # 除以p_F是为了保证梯度的期望不变
print(gradient_mask)

gradient *= gradient_mask
print(gradient)

Bernoulli是一个类,生成的gradient_mask是一个对象,我们需要调用这个对象的sample()方法才能得到一个矩阵。其中比较重要的一点是虽然我们得到了0-1 MASK,但我们需要将这个MASK内所有的1扩大1/pF1/p_F倍以维持梯度的期望值

别的梯度都不在了,活着的梯度要带着其他人的意志坚强的反向传播下去啊!

Child_Tuning_D

考虑到存在不同的下游任务,作者提出一种与具体任务相关的算法Child_Tuning_D,它可以检测出对目标任务最重要的子网络(或者参数)。具体来说,作者采用Fisher信息估计法来寻找与特定下游任务高度相关的参数。形式上,模型参数w\mathbf{w}w的Fisher Information Matrix(FIM)定义如下:

image.png

其中,x,yx,y分别是输入和输出,由此我们可以推出第ii个参数的Fisher信息如下:

image.png

其中,D|D|是所有样本的数量。作者认为,参数对目标任务越重要,其Fisher信息越大,因此Child Tuning是由Fisher信息最高的那些参数组成,此时Child Network的比例为

image.png

其中Cˉ| \bar{\mathcal{C}}|表示非子网络,当pD=1p_D=1时,Child Tuning就退化为了Fine Tuning。实际上Fisher信息的计算是相当耗时的,如果我们每次反向传播后都去计算一次所有参数的Fisher信息,然后找出最大的前几个是很麻烦的,因此作者提出在真正开始训练之前,我们先对所有样本进行一次完整(一个Epoch)的前向传播和反向传播,此时计算出Fisher信息最高的那些参数,以及此时确定的Child Network以后就不再变化了,就以这一次所选定的为准

下面给出计算Fisher信息的代码

def calculate_fisher():
    gradient_mask, p_F = {}, 0.2
    train_loader = torch.utils.data.DataLoader(train_dataset, batch_size, shuffle=True)
    N = len(train_dataloader) # N = |D|
    for name, params in model.named_parameters():
        if 'layer' in name:
            gradient_mask[params] = params.new_zeros(params.size())
    for batch in train_loader:
        outpus = model(**batch)
        loss = outpus['loss'] if isinstance(outpus, dict) else outputs[0]
        loss.backward()

        for name, params in model.named_parameters():
            if 'layer' in name:
                torch.nn.utils.clip_grad_norm(params, 1)
                gradient_mask[params] += (params.grad ** 2) / N
        model.zero_grad()
    
    r = None
    for k, v in gradient_mask.items():
        v = v.view(-1).cpu().numpy() # flatten
        if r is None:
            r = v
        else:
            r = np.append(r, v)
    
    # polar = np.percentile(a, q) # a中有q%的元素小于polar
    polar = np.percentile(r, (1-p_F)*100)
    for k in gradient_mask:
        gradient_mask[k] = gradient_mask[k] >= polar
    print('Polar => {}'.format(polar))

    return gradient_mask

PROOF

如果这篇论文就讲了这些东西,很大概率是中不了EMNLP的,之所以被录用了,我个人觉得和这篇论文里大量的证明有关,作者证明了使用Child Tuning可以帮助模型逃离局部极小值点,接下来我尝试着把论文中的证明部分说清楚

首先我们假设g(i)\mathbf{g}^{(i)}是给定样本x(i)\mathbf{x}^{(i)}时参数w\mathbf{w}的梯度,并且它服从正态分布g(i)N(Lw,σg2Ik),定义g^{(i)}∼N(\frac{∂L}{∂w},σ_g^2I_k), 定义
gg=i=1B\sum\limits_{i=1}^{|\mathcal{B}|} g(i)B\frac{\mathbf{g}^{(i)}}{|\mathcal{B}|},则有

image.png

对于g\mathbf{g},我们有

image.png

g^=gpM\hat{\mathbf{g}} = \frac{\mathbf{g}}{p}\odot M,其中pppDp_DpFp_F(看你用的哪种算法),则

image.png

上面的公式推导其实并不严格,例如分子的pp是从哪来的就没法解释,分子的pp只有可能是E[M]\mathbb{E}[M]的结果,可是MM是个矩阵,矩阵的期望怎么就变成一个数了呢?但要强行解释也可以,因为将MM中所有的1加起来除以MM内的所有元素似乎也是等于pp

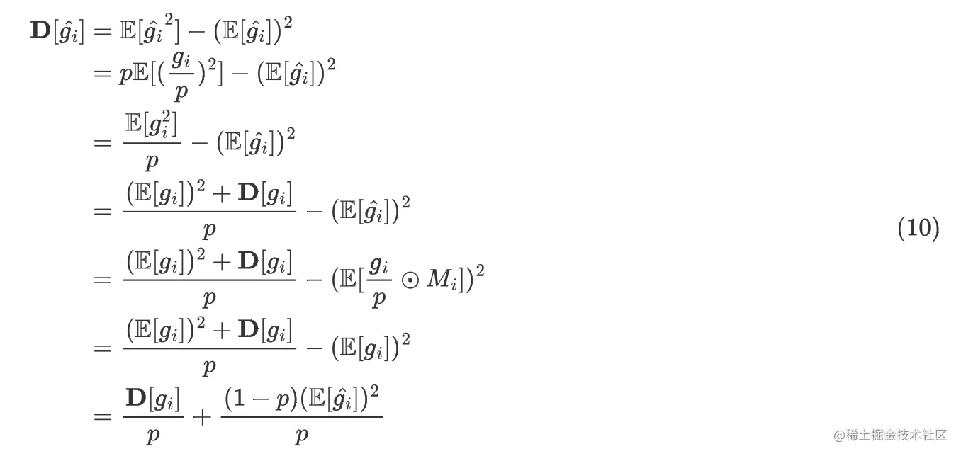
gi^,gi\hat{g_i}, g_i分别是g^,g\hat{\mathbf{g}}, \mathbf{g}ii维度上的值,那么有gi^=gipMi\hat{g_i} = \frac{g_i}{p}\odot M_i

image.png

因此

image.png

最终我们就得到

image.png

特别地,当参数w\mathbf{w}训练到局部极小值点时,Lw=0\frac{∂L}{∂w}=0,此时E[Δw]=0,Σ[Δw]=η2σg2IkpBE[Δw]=0,\Sigma[\Delta \mathbf{w}] = \frac{\eta^{2} \sigma_{\mathbf{g}}^{2} \mathbf{I}_{k}}{p|\mathcal{B}|},我们注意到Σ[Δw]\Sigma[\Delta \mathbf{w}]是关于pp的一个递减函数,pp越大,Σ[Δw]\Sigma[\Delta \mathbf{w}]越小,极端情况是p=1p=1,此时Child Tuning退化为Fine Tuning,并且Σ[Δw]\Sigma[\Delta \mathbf{w}]最小,相当于它的变化量每次都不大,因此就很难跳出局部极小值点;pp越小,Σ[Δw]\Sigma[\Delta \mathbf{w}]越大,相当于它的变化量每次都很大,因此比较容易跳出局部极小值点

个人总结

这篇论文刚读的时候觉得很厉害,但实际上了解之后就觉得这其实就是一个反向传播版的Dropout,实际的创新并没有特别大,包括其中提到的Fisher信息也并不是这篇论文提出来的。再就是论文中的实验确实很多,实验结果表明,相比于Fine Tuning大约可以提升1.5~8.6个点不等。最后要说一下这篇论文的公式证明部分,我个人觉得这篇论文的证明其实没有很严谨,例如为什么一个矩阵的期望就变成一个数了。总的来说这个方法可以作为打比赛时候的一个Trick来使用