【化解数据结构】详解树结构,并实现二叉搜索树

737 阅读10分钟

这是我参与11月更文挑战的第8天,活动详情查看:2021最后一次更文挑战

📢 大家好,我是小丞同学,一名大二的前端爱好者

📢 这篇文章将讲解数据结构中的树

📢 非常感谢你的阅读,不对的地方欢迎指正 🙏

📢 愿你忠于自己,热爱生活

💡 知识点抢先看

  • 什么是树结构?
  • 树的相关术语
  • 树结构有哪些类型
  • 树的前中后序遍历
  • 树的层序遍历
  • 手写实现一颗树

一、什么是树结构?

树和哈希表一样是一种非顺序的数据结构,它对于存储需要快速查找的数据非常有用

树是一种分层抽象模型,可以理解为一层一层的,就类似于高中生物的遗传图谱

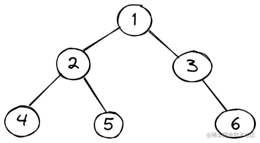
如下图所示

树-介绍

二、树的相关术语

根据上面的图,我们大致知道了树是一个怎样的数据结构,虽然对于实现它还一头雾水,现在我们先来了解一下关于树的相关术语

首先我们先列个表

术语含义
节点书中的每一个元素都叫节点
节点的深度它的祖先节点的数量
树的高度所有节点深度的最大值
内部节点至少有一个子节点的节点
外部节点没有子元素的节点
节点的度节点拥有的子树个数
叶子节点度为 0 的节点

接下来我们来详解一下这些分别是什么意思

树-节点

首先位于树顶部的节点,称为根节点,它不存在父节点,也就是节点 1

树中的每一个元素都叫做节点

没有子元素的节点又叫做外部节点,例如图中的 4,5,7 这几个节点,它们都不存在子元素

剩下的节点都是内部节点

节点中有一个属性叫深度,它取决于祖先节点的数量,例如图中的节点5,它有2个祖先节点,分别是 2 和 1 ,因此它的深度就是2

对于一棵树而言,它有高度可言,高度取决于节点深度最大的值,也就是节点 7,它的深度是3,因此这颗树的高度为 3

节点的度,度表示的是节点拥有的子树的个数,例如节点1,有两颗子树,因此节点1的度为2,对于节点3而言,它只有一颗子树,因此节点3的度为1

对于叶子节点,也就是度为0的节点,也就是没有子树的节点,例如图中的节点 (4,5,7),这些都称做叶子节点

三、树结构有哪些类型

对于树来说它千变万化,它有着很多种形态,例如

最常见的二叉树,二叉搜索树

当然它还有

  • 红黑树
  • avl 树
  • n 叉树
  • 平衡二叉树...

还有很多种类型,这里主要就讲二叉树,因为其他的有点难,还没有学

二叉树:节点最多只能有两个子节点,一个是左侧节点,一个是右侧节点,如图就是一棵二叉树

树-二叉树

二叉搜索树:左侧节点存储小的值,右侧节点存储大的值,因此也就是从左到右,从小到大,如图就是一棵二叉搜索树

树-二叉搜索

四、树的前中后序遍历

对于树的遍历,我们有三种常规的方法,前序遍历,中序遍历,后序遍历

1. 前序遍历

前序遍历的顺序是:根节点 -> 左子节点 -> 右子节点,对于子树而言也是按照这个规律来遍历,如图所示

前序遍历-树

自己尝试用代码实现一下噢~~

2. 中序遍历

中序遍历的顺序是: 左子树 -> 根节点 -> 右子树,如图所示

树-中序遍历

递归代码实现

const inorder = (root) => {
    if(!root) { return }
    inorder(root.left)
    console.log(root.val);
    inorder(root.right)
}

3. 后序遍历

后序遍历的顺序是:左子树 -> 右子树 -> 根节点,如图所示

树-后序遍历

const postorder = (root) =>{
    if(!root) {return}
    // 先访问左子树,再访问右子树
    postorder(root.left)
    postorder(root.right)
    // 最后访问根节点
    console.log(root.val);
}

前序遍历代码如何实现呢?自己尝试一下吧~递归和迭代都可以试试噢

五、树的层序遍历

LeetCode 刷题中,经常会有这样的题目,需要按照层级来遍历,是什么意思呢

它的意思是:逐层地,从左到右访问所有节点

也就是按照图中的方式来遍历,并且返回结果

image-20211101161518620

返回结果: [ [3], [9,20], [15,7] ]

也就是把每一层的元素放在一个数组中返回,如何实现呢?

  • 首先我们需要在广度优先遍历的基础上,添加层级的判断
  • 记录下当前层级的节点数,当当前层级遍历完成之后,从下一个数组继续遍历
var levelOrder = function (root) {
    //  空树
    if (!root) return []
    // 队列 广度优先遍历,[根节点,层级]
    const q = [
        root
    ]
    const res = []
    while (q.length) {
        // 记录一下当前有多少个节点是上一次循环遗留的,这些节点就是当前层级的全部节点
        let len = q.length
        res.push([])
        // 将这些节点全部出队
        while (len--) {
            const n = q.shift()
            res[res.length - 1].push(n.val)
            if (n.left) q.push(n.left)
            if (n.right) q.push(n.right)
        }
        // 在下一次的外层循环中,又会新创建一个新的空数组
    }
    return res
};

六、二叉搜索树有哪些方法?

在这里就罗列几个常见的方法吧

方法作用
insert向二叉搜索树中插入数据
serach查找某个值
remove移除某个值

还有很多比如返回最大值,返回最小值的方法,都可以实现,这里就不写那么多了

七、手写实现二叉搜索树

1. 创建 Node 类

创建一个节点类,用来实例化创建新节点,二叉搜索树最多只有两个节点

通过这个类来创建节点,默认为 null ,有 leftright 两个子节点都为 null

image-20211101175234632

class Node {
    constructor(data = null, left = null, right = null){
        this.data = data
        this.left = left
        this.right = right
    }
}

2. 创建 BinarySearchTree 类

用来添加整棵树的方法

class BinarySearchTree {
    constructor() {
        this.root = null
    }
}

3. 实现 insert 方法

insert 方法实现插入一个元素,根据二叉搜多树的特性,左子树值小于右子树值,我们需要设计出合理的插入方式

  • 首先我们需要创建一个新节点,并且传入 data 及节点数据
  • 如果插入的是第一个节点,那么该节点就是根节点
  • 如果不是第一个插入的节点,那么我们需要通过一个函数来辅助实现插入
insert(data) {
    const newNode = new Node(data)
    // insertNode为辅助函数
    this.root === null ? this.root = newNode : insertNode(this.root, newNode)
}

在这里我们写好了 insert 方法,简单的逻辑判断,根节点有无,接下来的处理交给 insertNode 函数来实现

如何实现呢?

根据二叉搜索树的特性,我们采用递归的方式

  • 首先先判断传入的节点和根节点的大小关系
  • 如果比根节点小,则放到左子树,反之
  • 如果当前左(右)子树为空,则它直接成为左树第一个节点
  • 如果不为空,我们接着比较它和左(或右)子树的大小关系,实现递归
function insertNode(node, newNode) {
    // 如果值小于根节点,插到左子树
    if (newNode.data < node?.data) {
        // 如果没有左子树,那么直接是左节点
        if (node.left === null) {
            node.left = newNode
        } else {
            // 递归
            insertNode(node.left, newNode)
        }
    }else {
        if(node.right === null) {
            node.right = newNode
        }else {
            insertNode(node.left,newNode)
        }
    }
}

这样我们就实现了一个 insert 方法,我们来看看如何使用吧~ 随便测试一下

const tree = new BinarySearchTree()
tree.insert(344)
tree.insert(31114)
tree.insert(324)
tree.insert(34)

看到调试器面板中的记录,符合我们的预期

image-20211101190105210

我们再来看看插入是如何一步一步实现的吧~

const tree = new BinarySearchTree()
tree.insert(15)
tree.insert(31)
tree.insert(6)
tree.insert(48)

树-push-动图

4. 实现 search 方法

search 方法需要接收一个查找的值,我们返回 true 或者 false ,这和之前的 has 方法类似,那我们该如何实现呢?

同样的我们需要借助一个辅助函数来实现

  • 首先,我们先声明 search 方法,传入树和需要查找的值
  • 当我们的树为空时,说明一定不可能查找到值
  • 当查找的 data 小于根节点的 data 时,我们需要递归左子树继续判断
  • 当大于根节点时,递归右子树判断
  • 如果刚好等于根节点就返回 true

实现 search 方法

search(data) {
    return searchNode(this.root, data)
}

实现 searchNode 方法来实现查找

function searchNode(node, data) {
    if (node === null) {
        return false
    }
    if (data < node.data) {
        return searchNode(node.left, data)
    } else if (data > node.data) {
        return searchNode(node.right, data)
    } else {
        return true
    }
}

实现效果如何,我们来试试

const tree = new BinarySearchTree()
tree.insert(59)
tree.insert(29)
tree.insert(48)
tree.insert(18)
tree.insert(79)
tree.search(48)
tree.search(1)

树搜索-push-动图

5. 实现 remove 方法

remove 方法删除节点,这个方法是最复杂的一个方法,它要考虑的东西有很多

对于删除节点,可以分为三种类型

  1. 删除叶子节点
  2. 删除的节点只有一个子节点
  3. 删除的节点有2个子节点

如何实现,我们一步步来看

首先我们需要实现一个 removeNode 函数,来保证我们的类中的干净,我们先声明这个 remove 方法,在这里我们预定 removeNode 需要返回根节点

remove(data) {
    this.root = removeNode(this.root, data)
}

来实现 removeNode 方法

首先我们先处理一些边界判断的工作

在这里我们先处理了空树的情况,当树为空时返回 null 即可,接着我们对需要删除的节点进行了搜索,这里利用的是递归实现的,当我们找到了这个节点时,当前的 node 就会指向了要删除的节点,然后进行判断

function removeNode(node, data) {
    if (node === null) return null
    if (data < node.data) {
        node.left = removeNode(node.left, key)
        return node
    } else if (data > node.key) {
        node.right = removeNode(node.right, key)
    } else {
        // 三个情况
    }
}

第一种情况:删除叶子节点,也就是 left,right 都为 null 时,可以直接删除,让当前节点 node = null 即可

if(node.left === null && node.right === null) {
    node = null
    return node
}

树删除-1-动图

第二种情况:删除只有一个子节点的节点

这种情况下,我们需要跳过当前节点,指向它的子节点,也可以说是用子节点替代它的位置

if(node.left === null) {
    node = node.right
    return node
}else if(node.right === null) {
    node = node.left
    return node
}

树删除-2-动图

第三种情况:删除两个子节点的节点

这种情况是最复杂的

  1. 找到该节点的右子树中的最小值
  2. 然后用这个最小值,去替代当前的这个被删除的节点
  3. 之后我们需要删除右子树中的那个节点
  4. 最后返回更新后节点的引用

在这里我们使用了一个自己封装的方法 findMinNode ,可以自己去试试如何实现,它的功能是,返回最小值的节点

const min = findMinNode(node.right)
node.data = min.data
node.right = removeNode(node.right,min.data)
return node

这样我们就实现了这三种情况的判断,结合起来就可以正常工作了

树删除-3-动图


到这里我们实现了几个很常用的方法,难度还是蛮大的,需要自己多练练

八、LeetCode 实战

以下这些 leetcode 题可以去尝试一下

这些题都可以去尝试一下哦~


📖 总结

在这篇文章中我们从什么是树开始,最后封装了一颗二叉搜索树,难度还是有的,做树相关的题目,必须要理顺我们的思路,采用递归要确定好递归顺序。在我们做题的时候,不必封装一个完整的树,只需要我们知道有这个数据结构,在我们需要使用的时候,我们提取它的灵魂即可,学了这么多的数据结构,也能发现,它们都是通过数组或者对象封装而成的,因此它们的本质还是我们最熟悉的东西。

本文关于的内容就到这里结束了,相信你一定能从中学到很多东西。下一篇文章将带你探索的奥秘。

本专栏的其他内容

从这里开始 👉 【化解数据结构】从这里开启数据结构和算法

栈 👉 【化解数据结构】什么是栈?手写实现一个栈结构!

队列 👉【化解数据结构】详解队列,优先队列,循环队列,并实现一个队列

链表 👉 【化解数据结构】详解链表结构,并实现一个链表

集合 👉【化解数据结构】详解集合结构,并实现一个集合

字典 👉【化解数据结构】详解字典结构,并实现一个字典

欢迎大家关注本专栏,持续关注最新文章~

最后,可能在很多地方讲诉的不够清晰,请见谅

💌 如果文章有什么错误的地方,或者有什么疑问,欢迎留言,也欢迎私信交流