贝叶斯网络

361 阅读3分钟

「这是我参与11月更文挑战的第8天,活动详情查看:2021最后一次更文挑战

简介

贝叶斯网络又称信度网络,是Bayes方法的扩展,是目前不确定知识表达和推理领域最有效的理论模型之一。从1988年由Pearl提出后,几乎成为近几年研究的热点。一个贝叶斯网络是一个有向无环图(Directed Acyclic Graph,DAG),由代表变量结点及连接这些结点有向边构成。结点代表随机变量,结点间的有向边代表了结点间的互相关系(由父节点指向其子结点),用条件概率进行表达关系强度,没有父结点的用先验概率进行信息表达。结点变量可以是任何问题的抽象,如:测试值,观测现象,意见征询等。适用于表达和分析不确定性和概率性的事件,应用于有条件地依赖多种控制因素的决策,可以从不完全、不精确或不确定的知识或信息中做出推理。

数学定义

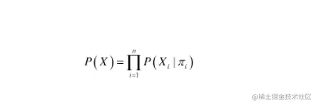
令G=(I,E)表示一个有向无环图(DAG),其中I代表图中所有的结点的集合,而E代表有向连接线段的集合,且令X=(xix_i) i_i∈I 为其有向无环图的某一结点i所代表的随机变量,则结点X的联合概率分布可以表示成:

image.png

特性

  1. 贝叶斯网络本身是一种不定性因果关系模型。贝叶斯网络与其他决策模型不同,它本身是多元知识图解可视化的一种概率知识表达与推理模型,更为贴切地蕴含了网络结点变量之间的因果关系及条件相关关系。
  2. 贝叶斯网络具有强大的不确定性问题处理能力。贝叶斯用条件概率表达各个信息要素之间的相关关系,能在有限的、不完整的、不确定的信息条件下进行学习和推理。
  3. 贝叶斯网络能有效地进行多源信息表达与融合。贝叶斯网络可将故障诊断与维修决策相关的各种信息纳入网络结构中,按结点的方式统一进行处理,能有效地按与信息相关的关系进行融合。
  4. 贝叶斯理论是处理不确定不确定性信息的重要工具。作为一种基于概率的不确定性推理方法,贝叶斯网络在处理不确定信息的智能化系统中已得到了重要的应用,已成功地用于医疗诊断、统计决策、专家系统、学习预测等领域。这些成功的应用,充分体现了贝叶斯网络技术是一种强有力的不确定性推理方法。

贝叶斯网络的应用层面

贝叶斯网络目前应用在模拟计算生物学(computational biology)与生物信息学(bioinformatics)基因调控网上(generegulatory networks)、蛋白质结构(protein structure)、基因表达分析(gene expression analysis)、医学(medicine)、文件分类(document classification)等

寄语

本次介绍了贝叶斯网络的基本定义、特性以及现在的一些应用层面,系统的分析了贝叶斯网络。并且可以给各位读者一些了解关于贝叶斯网络之后的研究方向,希望可以在一些地方给与童鞋们一些帮助,如果有喜欢的朋友,欢迎在评论区进行留言,也可以加QQ和微信。

往期想关内容介绍