PTA 树的同构

383 阅读3分钟

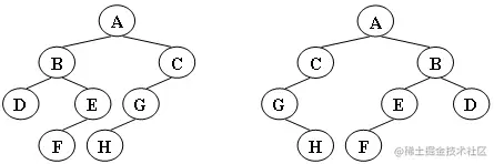
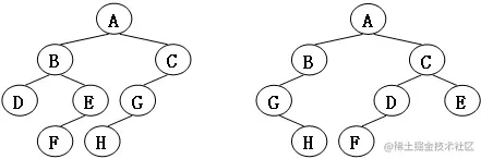
给定两棵树T1和T2。如果T1可以通过若干次左右孩子互换就变成T2,则我们称两棵树是“同构”的。例如图1给出的两棵树就是同构的,因为我们把其中一棵树的结点A、B、G的左右孩子互换后,就得到另外一棵树。而图2就不是同构的。

图1

图2

现给定两棵树,请你判断它们是否是同构的。

输入格式:

输入给出2棵二叉树树的信息。对于每棵树,首先在一行中给出一个非负整数N (≤10),即该树的结点数(此时假设结点从0到N−1编号);随后N行,第i行对应编号第i个结点,给出该结点中存储的1个英文大写字母、其左孩子结点的编号、右孩子结点的编号。如果孩子结点为空,则在相应位置上给出“-”。给出的数据间用一个空格分隔。注意:题目保证每个结点中存储的字母是不同的。

输出格式:

如果两棵树是同构的,输出“Yes”,否则输出“No”。

输入样例1(对应图1):

8
A 1 2
B 3 4
C 5 -
D - -
E 6 -
G 7 -
F - -
H - -
8
G - 4
B 7 6
F - -
A 5 1
H - -
C 0 -
D - -
E 2 -

输出样例1:

Yes

输入样例2(对应图2):

8
B 5 7
F - -
A 0 3
C 6 -
H - -
D - -
G 4 -
E 1 -
8
D 6 -
B 5 -
E - -
H - -
C 0 2
G - 3
F - -
A 1 4

输出样例2:

No

代码:

#include<iostream>
using namespace std;
#define MAXN 100
struct Node
{
	char ch;
	int left;
	int right;
}tree1[MAXN], tree2[MAXN];

int n;

int build(struct Node tree[])
{

	cin >> n;
	char st, l, r;
	for (int i = 0; i < n; i++)
	{
		getchar();//吸收回车
		cin >> st;
		getchar();//吸收空格
		cin >> l;
		getchar();//吸收空格
		cin >> r;
		//	cout<<st<<" "<<l<<" "<<r<<endl;
		tree[i].ch = st;
		if (l == '-')
		{
			tree[i].left = -11;         //-11代表为空NULL 
		}
		else
		{
			tree[i].left = l - '0';
		}
		if (r == '-')
		{
			tree[i].right = -11;         //-11代表为空NULL 
		}
		else
		{
			tree[i].right = r - '0';
		}
	}

}
bool judge(struct Node treeA[], struct Node treeB[])
{
	if (n == 1)
	{
		if (treeA[0].ch == treeB[0].ch)
		{
			return true;
		}
		else return false;
	}
	for (int i = 0; i < n; i++)
	{
		for (int j = 0; j < n; j++)
		{
			if (treeA[i].ch == treeB[j].ch)
			{
				if (treeA[i].left == -11 && treeA[i].right == -11 && treeB[j].left == -11 && treeB[j].right == -11)     //两个子节点都为空 
				{
					break;
				}
				if (treeA[i].left == -11 && treeA[i].right != -11)												//A左空右不空 
				{
					if ((treeB[j].left != -11 && treeB[j].right != -11) || (treeB[j].left == -11 && treeB[j].right == -11))
					{
						return false;
					}
					if ((treeB[j].left == -11 && treeB[j].right != -11))
					{
						if (treeA[treeA[i].right].ch == treeB[treeB[j].right].ch)
						{
							break;
						}
						else return false;
					}
					if ((treeB[j].left != -11 && treeB[j].right == -11))
					{
						if (treeA[treeA[i].right].ch == treeB[treeB[j].left].ch)
						{
							break;
						}
						else return false;
					}
				}
				if (treeA[i].left != -11 && treeA[i].right == -11)												//A左不空右空 
				{
					if ((treeB[j].left != -11 && treeB[j].right != -11) || (treeB[j].left == -11 && treeB[j].right == -11))
					{
						return false;
					}
					if ((treeB[j].left == -11 && treeB[j].right != -11))
					{
						if (treeA[treeA[i].left].ch == treeB[treeB[j].right].ch)
						{
							break;
						}
						else return false;
					}
					if ((treeB[j].left != -11 && treeB[j].right == -11))
					{
						if (treeA[treeA[i].left].ch == treeB[treeB[j].left].ch)
						{
							break;
						}
						else return false;
					}
				}
				if (treeA[i].left != -11 && treeA[i].right != -11)
				{
					if ((treeB[j].left == -11 && treeB[j].right == -11) || (treeB[j].left != -11 && treeB[j].right == -11) || (treeB[j].left == -11 && treeB[j].right != -11))
					{
						return false;
					}
					else
					{
						if (((treeA[treeA[i].left].ch == treeB[treeB[j].left].ch) && (treeA[treeA[i].right].ch == treeB[treeB[j].right].ch)) || ((treeA[treeA[i].left].ch == treeB[treeB[j].right].ch) && (treeA[treeA[i].right].ch == treeB[treeB[j].left].ch)))
						{
							break;
						}
						else return false;
					}
				}
			}
		}
	}
	return true;
}

int main()
{
	build(tree1);
	build(tree2);
	if (judge(tree1, tree2))
	{
		cout << "Yes" << endl;
	}
	else cout << "No" << endl;
}

提交结果:

4.png