JS算法之两个链表的第一个公共节点

377 阅读3分钟

这是我参与11月更文挑战的第8天,活动详情查看:2021最后一次更文挑战

两个链表的第一个公共节点

剑指Offer 52.两个链表的第一个公共节点

难度:简单

题目:leetcode-cn.com/problems/li…

输入两个链表,找出它们的第一个公共节点。

如下面的两个链表:

img

在节点c1开始相交。

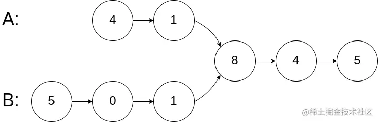
示例1:

img

输入:intersectVal = 8, listA = [4,1,8,4,5], listB = [5,0,1,8,4,5], skipA = 2, skipB = 3
输出:Reference of the node with value = 8
输入解释:相交节点的值为 8 (注意,如果两个列表相交则不能为 0)。从各自的表头开始算起,链表 A[4,1,8,4,5],链表 B[5,0,1,8,4,5]。在 A 中,相交节点前有 2 个节点;在 B 中,相交节点前有 3 个节点。

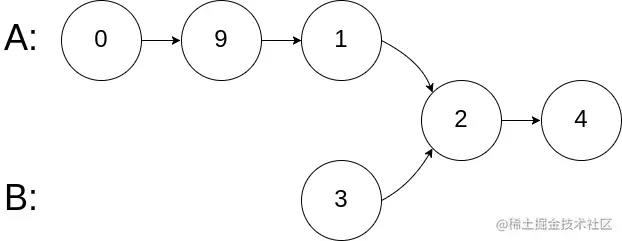
示例2:

img

输入:intersectVal = 2, listA = [0,9,1,2,4], listB = [3,2,4], skipA = 3, skipB = 1
输出:Reference of the node with value = 2
输入解释:相交节点的值为 2 (注意,如果两个列表相交则不能为 0)。从各自的表头开始算起,链表 A[0,9,1,2,4],链表 B[3,2,4]。在 A 中,相交节点前有 3 个节点;在 B 中,相交节点前有 1 个节点。

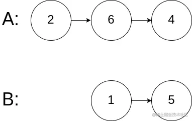
示例3:

img

输入:intersectVal = 0, listA = [2,6,4], listB = [1,5], skipA = 3, skipB = 2
输出:null
输入解释:从各自的表头开始算起,链表 A[2,6,4],链表 B[1,5]。由于这两个链表不相交,所以 intersectVal 必须为 0,而 skipA 和 skipB 可以是任意值。
解释:这两个链表不相交,因此返回 null。

注意:

  • 如果两个链表没有交点,返回null。
  • 在返回结果后,两个链表仍然保持原有的结构。
  • 可假定整个链表结构中没有循环。
  • 程序尽量满足O(NN)时间复杂度,且仅用O(11)内存。

题解

法一 哈希表

使用哈希表存储链表节点,先遍历链表headA,将headA的每个节点加入哈希表,再遍历链表headB,判断遍历节点是否在哈希表中:

  • 如果当前节点不在哈希表中,则继续遍历下一个
  • 如果当前节点在哈希表中,则后面的节点也都会在哈希表中,返回当前节点。

如果链表headB中的所有节点都不在哈希表中,则两个链表不相交,返回null。

/**
 * Definition for singly-linked list.
 * function ListNode(val) {
 *     this.val = val;
 *     this.next = null;
 * }
 */

/**
 * @param {ListNode} headA
 * @param {ListNode} headB
 * @return {ListNode}
 */
 var getIntersectionNode = function(headA, headB) {
  const visited = new Set();
  let tmp = headA;
  while(tmp){
    visited.add(tmp);
    tmp = tmp.next;
  }
  tmp = headB;
  while(tmp){
    if(visited.has(tmp)){
      return tmp;
    }
    tmp = tmp.next;
  }
  return null;
};
  • 时间复杂度:O(M+NM+N)
  • 空间复杂度:O(NN)

法二 双指针

使用两个指针node1,node2分别指向两个链表headA,headB的头节点,同时进行遍历,当node1到达headA的末尾时,重新定位到链表headB的头节点;当node2到达链表headB的末尾时,重新定位到链表headA的头节点。当node1和node2相遇时,所指向的节点就是第一个公共节点

var getIntersectionNode = function(headA, headB) {
  if(!headA || !headB){
    return null;
  }
  let node1 = headA, node2 = headB;
  while(node1!==node2){
    node1 = !node1 ? headB : node1.next;
    node2 = !node2 ? headA : node2.next;
  }
  return node1;
};
  • 时间复杂度:O(M+NM+N)
  • 空间复杂度:O(11)

坚持每日一练!前端小萌新一枚,希望能点个哇~