每日一题--删除排序链表中的重复元素 II

180 阅读2分钟

这是我参与11月更文挑战的第5天,活动详情查看:[2021最后一次更文挑战]

题目 存在一个按升序排列的链表,给你这个链表的头节点 head ,请你删除链表中所有存在数字重复情况的节点,只保留原始链表中 没有重复出现 的数字。

返回同样按升序排列的结果链表。

 

示例 1:

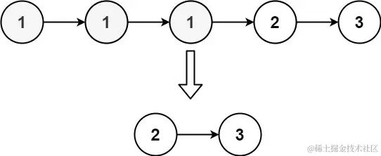
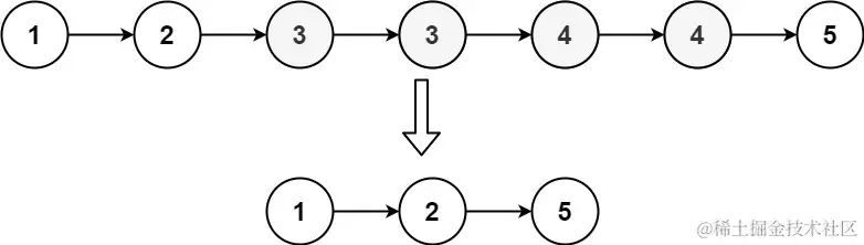
输入:head = [1,2,3,3,4,4,5] 输出:[1,2,5] 示例 2:


输入:head = [1,1,1,2,3] 输出:[2,3]

思路

由于给定的链表是排好序的,因此重复的元素在链表中出现的位置是连续的,因此我们只需要对链表进行一次遍历,就可以删除重复的元素。由于链表的头节点可能会被删除,因此我们需要额外使用一个哑节点(dummy node)指向链表的头节点。

具体地,我们从指针cur 指向链表的哑节点,随后开始对链表进行遍历。如果当前 cur.next 与 cur.next.next 对应的元素相同,那么我们就需要将cur.next 以及所有后面拥有相同元素值的链表节点全部删除。我们记下这个元素值 xx,随后不断将 cur.next 从链表中移除,直到 cur.next 为空节点或者其元素值不等于 xx 为止。此时,我们将链表中所有元素值为 xx 的节点全部删除。

如果当前 cur.next 与 cur.next.next 对应的元素不相同,那么说明链表中只有一个元素值为 cur.next 的节点,那么我们就可以将cur 指向cur.next。

当遍历完整个链表之后,我们返回链表的的哑节点的下一个节点dummy.next 即可。

细节 需要注意cur.next 以及cur.next.next 可能为空节点,如果不加以判断,可能会产生运行错误。

经典双指针解决 这里小技巧在于 把慢指针-2 之后跟快指针比较 然后如果相等的话就代表有三个连续的 然后继续让快指针走知道遇见不等的 再让他的值赋值到慢指针的 位置。

代码


var deleteDuplicates = function(head) {
    if(!head) return null
    let res=new ListNode()
    let count=res
    res.next=head
    while(count.next&&count.next.next){
       if(count.next.val==count.next.next.val){
          let x=count.next.val
          while(count.next&&count.next.val==x){
              count.next=count.next.next
          }
       }else{
           count=count.next
       }
    }
    return res.next
};