leetcode 203. Remove Linked List Elements(python)

318 阅读2分钟

「这是我参与11月更文挑战的第6天,活动详情查看:2021最后一次更文挑战

描述

Given the head of a linked list and an integer val, remove all the nodes of the linked list that has Node.val == val, and return the new head.

Example 1:

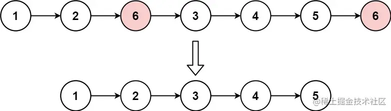
Input: head = [1,2,6,3,4,5,6], val = 6
Output: [1,2,3,4,5]

Example 2:

Input: head = [], val = 1
Output: []

Example 3:

Input: head = [7,7,7,7], val = 7
Output: []

Note:

The number of nodes in the list is in the range [0, 10^4].
1 <= Node.val <= 50
0 <= val <= 50

解析

根据题意,就是给出了一个链表的头节点 head 和一个整数 val ,题目要求我们移除链表中所有值和 val 相等的节点,并返回处理之后的新的链表的头。这个题就是考察我们对删除链表节点的基本操作,直接新建一个链表头节点 result ,然后遍历链表中的每个节点,如果节点的值和 val 不一样,就新建一个和当前节点一样值的节点连接到 result 后面,遍历结束,最后返回 result.next 即可。

解答

class ListNode(object):
    def __init__(self, val=0, next=None):
        self.val = val
        self.next = next
class Solution(object):
    def removeElements(self, head, val):
        """
        :type head: ListNode
        :type val: int
        :rtype: ListNode
        """
        if not head:return head
        result = ListNode(0, None)
        tmp = result
        while head:
            if head.val!=val:
                tmp.next = ListNode(head.val, None)
                tmp = tmp.next
            head = head.next
        return result.next

        	      
		

运行结果

Runtime: 76 ms, faster than 35.99% of Python online submissions for Remove Linked List Elements.
Memory Usage: 23.7 MB, less than 6.39% of Python online submissions for Remove Linked List Elements.

解析

可以在原链表上直接进行操作,这样直接快速遍历一次即可完成,并且能节省新的内存开销。思路也很简单:

  • 先 while 循环找到头节点 head 不为 val 的位置
  • 然后将 head 赋值给 result ,让 result 保存头节点
  • 当 head 不为空的时候一直执行 while 循环,如果当前节点的下个节点不为空且值为 val ,则将 head.next = head.next.next ,否则则直接 head = head.next 进行之后的节点遍历。
  • 循环结束 返回 result

解答

class ListNode(object):
    def __init__(self, val=0, next=None):
        self.val = val
        self.next = next
class Solution(object):
    def removeElements(self, head, val):
        """
        :type head: ListNode
        :type val: int
        :rtype: ListNode
        """
        if not head:return head
        while head and head.val==val:
            head = head.next
        result = head
        while head :
            if head.next and head.next.val == val:
                head.next = head.next.next
            else:
                head = head.next
        return result

运行结果

Runtime: 56 ms, faster than 94.53% of Python online submissions for Remove Linked List Elements.
Memory Usage: 20.4 MB, less than 13.14% of Python online submissions for Remove Linked List Elements.

原题链接:leetcode.com/problems/re…

您的支持是我最大的动力