红黑树-java语言版

155 阅读5分钟

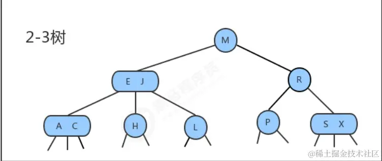
红黑树主要是对2-3树进行编码,红黑树背后的基本思想是用标准的二叉查找树(完全由2-结点构成)和一些额外的信 息(替换3-结点)来表示2-3树。我们将树中的链接分为两种类型: 红链接:将两个2-结点连接起来构成一个3-结点; 黑链接:则是2-3树中的普通链接。 确切的说,我们将3-结点表示为由由一条左斜的红色链接(两个2-结点其中之一是另一个的左子结点)相连的两个2- 结点。这种表示法的一个优点是,我们无需修改就可以直接使用标准的二叉查找树的get方法。

红黑树是含有红黑链接并满足下列条件的二叉查找树: 1. 红链接均为左链接; 2. 没有任何一个结点同时和两条红链接相连; 3. 该树是完美黑色平衡的,即任意空链接到根结点的路径上的黑链接数量相同;

下面是红黑树与2-3树的对应关系:

红黑树1.jpg

红黑树2.jpg

红黑树3.jpg

-- 红黑树平衡化操作:

1、左旋:当前结点左链接为黑色,右连接为红色时,需要左旋

private Node rotateLeft(Node h) {
    //找出当前结点h的右子结点
    Node hRight = h.right;
    //让当前结点h的右子结点的左子结点成为当前结点的右子结点
    h.right = hRight.left;
    //让当前结点h称为右子结点的左子结点
    hRight.left = h;
    //让当前结点h的color成为右子结点的color
    hRight.color = h.color;
    //让当前结点h的color变为RED
    h.color = RED;
    //返回当前结点的右子结点
    return hRight;
}

2、右旋:当前结点的左子结点的左子结点链接都是红色,需要右旋

private Node rotateRight(Node h) {
    //找出当前结点h的左子结点
    Node hLeft = h.left;
    //让当前结点h的左子结点的右子结点称为当前结点的左子结点
    h.left = hLeft.right;
    //让当前结点称为左子结点的右子结点
    hLeft.right = h;
    //让当前结点h的color值称为左子结点的color值
    hLeft.color = h.color;
    //让当前结点h的color变为RED
    h.color = RED;
    //返回当前结点的左子结点
    return hLeft;
}

3、颜色反转:当前左右链接都是红色,需要颜色反转

private void flipColors(Node h) {
    //当前结点的color属性值变为RED;
    h.color = RED;
    //当前结点的左右子结点的color属性值都变为黑色
    h.left.color = BLACK;
    h.right.color = BLACK;
}

-- API设计:

红黑树API.jpg

-- 代码:

/**
 * 红黑树
 */
public class RedBlackTree<Key extends Comparable<Key>, Value> {
    // 根结点
    private Node root;
    // 记录树中元素的个数
    private int N;
    // 红色链接
    private static final boolean RED = true;
    // 黑色链接
    private static final boolean BLACK = false;

    // 当前结点的父指向链接是否为红色
    private boolean isRed(Node x) {
        //空结点默认是黑色链接
        if (x == null) {
            return false;
        }
        //非空结点需要判断结点color属性的值
        return x.color == RED;
    }
    
    // 左旋转
    private Node rotateLeft(Node h) {
        //找出当前结点h的右子结点
        Node hRight = h.right;
        //让当前结点h的右子结点的左子结点成为当前结点的右子结点
        h.right = hRight.left;
        //让当前结点h称为右子结点的左子结点
        hRight.left = h;
        //让当前结点h的color成为右子结点的color
        hRight.color = h.color;
        //让当前结点h的color变为RED
        h.color = RED;
        //返回当前结点的右子结点
        return hRight;
    }

    // 右旋转
    private Node rotateRight(Node h) {
        //找出当前结点h的左子结点
        Node hLeft = h.left;
        //让当前结点h的左子结点的右子结点称为当前结点的左子结点
        h.left = hLeft.right;
        //让当前结点称为左子结点的右子结点
        hLeft.right = h;
        //让当前结点h的color值称为左子结点的color值
        hLeft.color = h.color;
        //让当前结点h的color变为RED
        h.color = RED;
        //返回当前结点的左子结点
        return hLeft;
    }

    // 颜色反转
    private void flipColors(Node h) {
        //当前结点的color属性值变为RED;
        h.color = RED;
        //当前结点的左右子结点的color属性值都变为黑色
        h.left.color = BLACK;
        h.right.color = BLACK;
    }

    // 向整棵树中插入元素
    public void put(Key key, Value val) {
        //在root整个树上插入key-val
        root = put(root, key, val);
        //让根结点的颜色变为BLACK
        root.color = BLACK;
    }

    // 向指定的树中插入元素,并返回添加元素后的新树
    private Node put(Node h, Key key, Value val) {
        if (h == null) {
            //标准的插入操作,和父结点用红链接相连
            N++;
            return new Node(key, val, null, null, RED);
        }
        //比较要插入的键和当前结点的键
        int cmp = key.compareTo(h.key);
        if (cmp < 0) {
            //继续寻找左子树插入
            h.left = put(h.left, key, val);
        } else if (cmp > 0) {
            //继续寻找右子树插入
            h.right = put(h.right, key, val);
        } else {
            //已经有相同的结点存在,修改节点的值;
            h.value = val;
        }
            //如果当前结点的右链接是红色,左链接是黑色,需要左旋
        if (isRed(h.right) && !isRed(h.left)) {
            h = rotateLeft(h);
        }
            //如果当前结点的左子结点和左子结点的左子结点都是红色链接,则需要右旋
        if (isRed(h.left) && isRed(h.left.left)) {
            h = rotateRight(h);
        }
            //如果当前结点的左链接和右链接都是红色,需要颜色变换
        if (isRed(h.left) && isRed(h.right)) {
            flipColors(h);
        }
        //返回当前结点
        return h;
    }

    //根据key,从树中找出对应的值
    public Value get(Key key) {
        return get(root, key);
    }

    //从指定的树x中,查找key对应的值
    public Value get(Node x, Key key) {
        //如果当前结点为空,则没有找到,返回null
        if (x == null) {
            return null;
        }
        //比较当前结点的键和key
        int cmp = key.compareTo(x.key);
        if (cmp < 0) {
        //如果要查询的key小于当前结点的key,则继续找当前结点的左子结点;
            return get(x.left, key);
        } else if (cmp > 0) {
        //如果要查询的key大于当前结点的key,则继续找当前结点的右子结点;
            return get(x.right, key);
        } else {
        //如果要查询的key等于当前结点的key,则树中返回当前结点的value。
            return x.value;
        }
    }

    //获取树中元素的个数
    public int size() {
        return N;
    }

    //结点类
    private class Node {
        //存储键
        public Key key;
        //存储值
        private Value value;
        //记录左子结点
        public Node left;
        //记录右子结点
        public Node right;
        //由其父结点指向它的链接的颜色
        public boolean color;

        public Node(Key key, Value value, Node left, Node right, boolean color) {
            this.key = key;
            this.value = value;
            this.left = left;
            this.right = right;
            this.color = color;
        }
    }
}

@ 以上内容属于个人笔记