计算机网络——物理层

311 阅读9分钟

2.1 物理层的基本概念

物理层的主要任务描述为确定与传输媒体的接口的一些特性,即:

机械特性:指明接口所用接线器的形状和尺寸、引线数目和排列、固定和锁定装置等等。

电气特性:指明在接口电缆的各条线上出现的电压的范围。

功能特性:指明某条线上出现的某一电平的电压表示何种意义。

过程特性:指明对于不同功能的各种可能事件的出现顺序。

2.2 数据通信的基础知识

2.2.1 数据通信系统的模型

image.png 数据(data)——运送消息的实体。

信号(signal)——数据的电气的或电磁的表现。

“模拟的”(analogous)——代表消息的参数的取值是连续的。

“数字的”(digital)——代表消息的参数的取值是离散的。

码元(code)——在使用时间域(或简称为时域)的波形表示数字信号时,代表不同离散数值的基本波形。

2.2.2 有关信号的几个基本概念

单向通信(单工通信)——只能有一个方向的通信而没有反方向的交互。

双向交替通信(半双工通信)——通信的双方都可以发送信息,但不能双方同时发送(当然也就不能同时接收)。

双向同时通信(全双工通信)——通信的双方可以同时发送和接收信息。

基带(baseband)信号和带通(band pass)信号

基带信号(即基本频带信号)——来自信源的信号。像计算机输出的代表各种文字或图像文件的数据信号都属于基带信号。

基带信号往往包含有较多的低频成分,甚至有直流成分,而许多信道并不能传输这种低频分量或直流分量。因此必须对基带信号进行调制(modulation)。

带通信号——把基带信号经过载波调制后,把信号的频率范围搬移到较高的频段以便在信道中传输(即仅在一段频率范围内能够通过信道)。

对基带数字信号的几种调制方法

最基本的二元制调制方法有以下几种:

调幅(AM):载波的振幅随基带数字信号而变化。

调频(FM):载波的频率随基带数字信号而变化。

调相(PM) :载波的初始相位随基带数字信号而变化。

image.png

2.2.3 信道的极限容量

任何实际的信道都不是理想的,在传输信号时会产生各种失真以及带来多种干扰。

码元传输的速率越高,或信号传输的距离越远,在信道的输出端的波形的失真就越严重。

image.png

(1) 信道能够通过的频率范围

在任何信道中,码元传输的速率是有上限的,否则就会出现码间串扰的问题,使接收端对码元的判决(即识别)成为不可能。

如果信道的频带越宽,也就是能够通过的信号高频分量越多,那么就可以用更高的速率传送码元而不出现码间串扰。

(2) 信噪比

香农(Shannon)用信息论的理论推导出了带宽受限且有高斯白噪声干扰的信道的极限、无差错的信息传输速率。

信道的极限信息传输速率 C 可表达为

image.png

香农公式表明:

(1)信道的带宽或信道中的信噪比越大,则信息的极限传输速率就越高。

(2)只要信息传输速率低于信道的极限信息传输速率,就一定可以找到某种办法来实现无差错的传输。

(3)若信道带宽 W 或信噪比 S/N 没有上限(当然实际信道不可能是这样的),则信道的极限信息传输速率C也就没有上限。

(4)实际信道上能够达到的信息传输速率要比香农的极限传输速率低不少。

对于频带宽度已确定的信道,如果信噪比不能再提高了,并且码元传输速率也达到了上限值,那么还有办法提高信息的传输速率。这就是用编码的方法让每一个码元携带更多比特的信息量。

2.3 物理层下面的传输媒体

电信领域使用的电磁波的频谱

image.png

2.3.1 导引型传输媒体

双绞线

屏蔽双绞线 STP (Shielded Twisted Pair)

无屏蔽双绞线 UTP (Unshielded Twisted Pair)

同轴电缆

image.png

光缆

2.4 信道复用技术

2.4.1 频分复用、时分复用和统计时分复用

复用(multiplexing)是通信技术中的基本概念。

image.png

频分复用 FDM(Frequency Division Multiplexing)

用户在分配到一定的频带后,在通信过程中自始至终都占用这个频带。

频分复用的所有用户在同样的时间占用不同的带宽资源(请注意,这里的“带宽”是频率带宽而不是数据的发送速率)。

image.png

时分复用TDM(Time Division Multiplexing)

时分复用则是将时间划分为一段段等长的时分复用帧(TDM 帧)。每一个时分复用的用户在每一个 TDM 帧中占用固定序号的时隙。

每一个用户所占用的时隙是周期性地出现(其周期就是 TDM 帧的长度)。

TDM 信号也称为等时(isochronous)信号。

时分复用的所有用户是在不同的时间占用同样的频带宽度。

image.png

时分复用可能会造成线路资源的浪费

使用时分复用系统传送计算机数据时,由于计算机数据的突发性质,用户对分配到的子信道的利用率一般是不高的。

image.png

统计时分复用STDM(Statistic TDM)

image.png

2.4.2 波分复用WDM(Wavelength Division Multiplexing)

波分复用就是光的频分复用。

image.png

2.4.3 码分复用CDM(Code Division Multiplexing)

常用的名词是码分多址CDMA (Code Division Multiple Access)。

各用户使用经过特殊挑选的不同码型,因此彼此不会造成干扰。

每一个比特时间划分为 m 个短的间隔,称为码片(chip)。

码片序列(chip sequence)

(1)每个站被指派一个唯一的 m bit 码片序列。

如发送比特 1,则发送自己的 m bit 码片序列。

如发送比特 0,则发送该码片序列的二进制反码。

(2)例如,S 站的 8 bit 码片序列是 00011011。

发送比特 1 时,就发送序列 00011011。

发送比特 0 时,就发送序列 11100100。

CDMA 的重要特点

每个站分配的码片序列不仅必须各不相同,并且还必须互相正交(orthogonal)。

在实用的系统中是使用伪随机码序列

码片序列的正交关系

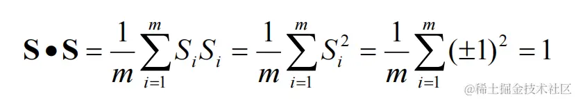
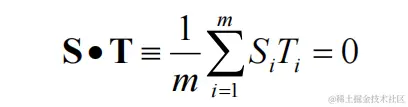
令向量 S 表示站 S 的码片向量,令 T 表示其他任何站的码片向量。

两个不同站的码片序列正交,就是向量 S 和 T 的规格化内积(inner product)都是 0:

image.png

码片序列的正交关系举例

令向量 S 为(–1 –1 –1 +1 +1 –1 +1 +1),向量 T 为(–1 –1 +1 –1 +1 +1 +1 –1)。

把向量 S 和 T 的各分量值代入上式就可看出这两个码片序列是正交的。

正交关系的另一个重要特性

任何一个码片向量和该码片向量自己的规格化内积都是1。

image.png

一个码片向量和该码片反码的向量的规格化内积值是–1。

CDMA 的工作原理

image.png

2.6 宽带接入技术

2.6.1 ADSL技术

ADSL 技术就是用数字技术对现有的模拟电话用户线进行改造,使它能够承载宽带业务。

标准模拟电话信号的频带被限制在 300~3400 Hz 的范围内,但用户线本身实际可通过的信号频率仍然超过 1 MHz。

ADSL 技术就把 0~4 kHz 低端频谱留给传统电话使用,而把原来没有被利用的高端频谱留给用户上网使用

DSL 就是数字用户线(Digital Subscriber Line)的缩写。

ADSL (Asymmetric Digital Subscriber Line):非对称数字用户线。

ADSL 的极限传输距离

ADSL 的极限传输距离与数据率以及用户线的线径都有很大的关系(用户线越细,信号传输时的衰减就越大),而所能得到的最高数据传输速率与实际的用户线上的信噪比密切相关。

例如,0.5 毫米线径的用户线,传输速率为 1.5 ~ 2.0 Mb/s 时可传送 5.5 公里,但当传输速率提高到 6.1 Mb/s 时,传输距离就缩短为 3.7 公里。

如果把用户线的线径减小到0.4毫米,那么在6.1 Mb/s的传输速率下就只能传送2.7公里。

ADSL 的特点

上行和下行带宽做成不对称的。上行指从用户到 ISP,而下行指从 ISP 到用户。

ADSL 在用户线(铜线)的两端各安装一个ADSL 调制解调器。

我国目前采用的方案是离散多音调 DMT(Discrete Multi-Tone)调制技术。这里的“多音调”就是“多载波”或“多子信道”的意思。

DMT 技术

DMT 调制技术采用频分复用的方法,把 40kHz 以上一直到 1.1 MHz 的高端频谱划分为许 多的子信道,其中 25 个子信道用于上行信道,而 249 个子信道用于下行信道。

每个子信道占据 4 kHz 带宽(严格讲是4.3125 kHz),并使用不同的载波(即不同的音调)进行数字调制。这种做法相当于在一对用户线上使用许多小的调制解调器并行地传送数据。

DMT 技术的频谱分布

image.png

ADSL 的数据率

由于用户线的具体条件往往相差很大(距离、线径、受到相邻用户线的干扰程度等都不同),因此 ADSL 采用自适应调制技术使用户线能够传送尽可能高的数据率。

当 ADSL 启动时,用户线两端的 ADSL 调制解调器就测试可用的频率、各子信道受到的干扰情况,以及在每一个频率上测试信号的传输质量。

通常下行数据率在 32 kb/s 到 6.4 Mb/s 之间,而上行数据率在 32 kb/s 到 640 kb/s 之间。

第二代 ADSL

ADSL2(G.992.3 和 G.992.4)

ADSL2+(G.992.5)

通过提高调制效率得到了更高的数据率。例如,ADSL2 要求至少应支持下行 8 Mb/s、上行 800 kb/s的速率。而 ADSL2+ 则将频谱范围从 1.1 MHz 扩展至2.2 MHz,下行速率可达 16 Mb/s(最大传输速率可达25 Mb/s),而上行速率可达 800 kb/s。

采用了无缝速率自适应技术 SRA (Seamless Rate Adaptation),可在运营中不中断通信和不产生误码的情况下,自适应地调整数据率。

改善了线路质量评测和故障定位功能,这对提高网络的运行维护水平具有非常重要的意义。