[路飞]_leetcode-144-二叉树的前序遍历

188 阅读1分钟

「这是我参与11月更文挑战的第1天,活动详情查看:2021最后一次更文挑战

[题目地址] [B站地址]

给你二叉树的根节点 root ,返回它节点值的 前序 遍历。

示例 1:

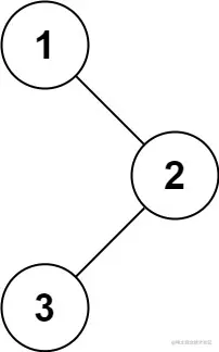
输入: root = [1,null,2,3]
输出: [1,2,3]

示例 2:

输入: root = []
输出: []

示例 3:

输入: root = [1]
输出: [1]

示例 4:

输入: root = [1,2]
输出: [1,2]

示例 5:

输入: root = [1,null,2]
输出: [1,2]

本题让我们对树进行前序遍历,即 根 左 右 的顺序遍历整棵二叉树

首先开一个空数组,然后从根节点开始进行递归遍历

如果节点为空,终止递归。否则将节点值 push 到结果数组,递归的遍历左子树,右子树即可

以上就是本题的解题思路

代码如下:

var preorderTraversal = function(root) {
    const res = []
    function preorder(root){
        if(root === null) return;
        res.push(root.val);
        preorder(root.left);
        preorder(root.right);
    }
    preorder(root);
    return res;
};

至此,我们就完成了leetcode-144-二叉树的前序遍历

如有任何问题或建议,欢迎留言讨论!