「前端刷题」65. 有效数字

188 阅读1分钟

「这是我参与11月更文挑战的第3天,活动详情查看:2021最后一次更文挑战」。

题目

链接:leetcode-cn.com/problems/va…

有效数字(按顺序)可以分成以下几个部分:

  1. 一个 小数 或者 整数
  2. (可选)一个 'e''E' ,后面跟着一个 整数

小数(按顺序)可以分成以下几个部分:

  1. (可选)一个符号字符('+''-'
  2. 下述格式之一:
    1. 至少一位数字,后面跟着一个点 '.'
    2. 至少一位数字,后面跟着一个点 '.' ,后面再跟着至少一位数字
    3. 一个点 '.' ,后面跟着至少一位数字

整数(按顺序)可以分成以下几个部分:

  1. (可选)一个符号字符('+''-'
  2. 至少一位数字

部分有效数字列举如下:

  • ["2", "0089", "-0.1", "+3.14", "4.", "-.9", "2e10", "-90E3", "3e+7", "+6e-1", "53.5e93", "-123.456e789"]

部分无效数字列举如下:

  • ["abc", "1a", "1e", "e3", "99e2.5", "--6", "-+3", "95a54e53"]

给你一个字符串 s ,如果 s 是一个 有效数字 ,请返回 true

 

示例 1:

输入: s = "0" 输出: true

示例 2:

输入: s = "e" 输出: false

示例 3:

输入: s = "." 输出: false

示例 4:

输入: s = ".1" 输出: true

 

提示:

  • 1 <= s.length <= 20
  • s 仅含英文字母(大写和小写),数字(0-9),加号 '+' ,减号 '-' ,或者点 '.'

解题思路

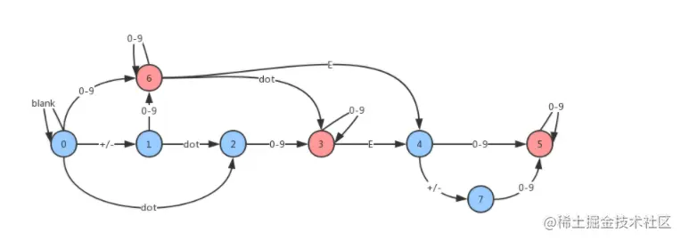
如图所示:根据当前字符上下文拼接情况,会呈现不同的状态;

所有的字符串刚进来都是状态 0 的位置,接下来的字符串逐个拼接会走到不同的状态,最终走到红色位置即为true,否则为false;
我们来一步一步分析一下 状态变换过程;

首先进来状态为0
0 接 +/- 到 1
0 接 . 到 2
1 接 0-9 到 6
1 接 . 到 2

以此类推,每个状态后面只能接固定的几类字符,路断了即表示false了;

Snipaste_2020-10-29_11-21-19.png

代码

/**
 * @param {string} s
 * @return {boolean}
 */
var isNumber = function(s) {
    /*
        blank  空格
        sign   + -
        digit  0-9
        e      e
        .      .
    */
    const graph = {
        0:{ 'blank': 0, 'sign': 1, '.': 2, 'digit': 6 },
        1:{ 'digit': 6, '.': 2 },
        2:{ 'digit': 3 },
        3:{ 'digit': 3, 'e': 4 },
        4:{ 'digit': 5, 'sign': 7 },
        5:{ 'digit': 5 },
        6:{ 'digit': 6, '.': 3,  'e': 4 },
        7:{ 'digit': 5 },
    }

    let state = 0;

    // 空格不影响状态
    for (let c of s.trim()) {
        if (c >= '0' && c <= '9') {
            c = 'digit';
        } else if (c === ' ') {
            c = 'blank';
        } else if(c === '+' ||  c === '-') {
            c = 'sign'
        }

        state = graph[state][c];

        // 如果得到的状态为undefind说明不在可用字符范围,直接返回false
        if (state === undefined) {
            return false;
        }

    }
    
    if (state == 3 || state == 5 || state == 6) {
        return true;
    }

    return false;
};