leetcode_144 二叉树的前序遍历

76 阅读1分钟

要求

给你二叉树的根节点 root ,返回它节点值的 前序 遍历。

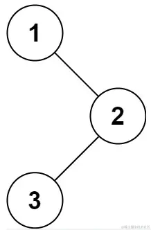
示例 1:

image.png

输入:root = [1,null,2,3]
输出:[1,2,3]

示例 2:

输入:root = []
输出:[]

示例 3:

输入:root = [1]
输出:[1]

示例 4:

image.png

输入:root = [1,2]
输出:[1,2]

示例 5:

image.png

输入:root = [1,null,2]
输出:[1,2]

核心代码

class TreeNode:
    def __init__(self, val=0, left=None, right=None):
        self.val = val
        self.left = left
        self.right = right
        
class Solution:
    def preorderTraversal(self, root: TreeNode) -> List[int]:
        if not root:
            return []
        return [root.val] + self.preorderTraversal(root.left) + self.preorderTraversal(root.right)

image.png

解题思路:树的前序遍历,比较简单。