重温数据结构之二叉树:恢复二叉搜索树

323 阅读2分钟

「这是我参与11月更文挑战的第2天,活动详情查看:2021最后一次更文挑战

题目

给你二叉搜索树的根节点 root ,该树中的两个节点被错误地交换。请在不改变其结构的情况下,恢复这棵树。

示例1:

image

输入:root = [1,3,null,null,2]
输出:[3,1,null,null,2]
解释:3 不能是 1 左孩子,因为 3 > 1 。交换 13 使二叉搜索树有效。

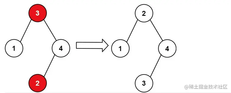
示例2:

image

输入:root = [3,1,4,null,null,2]
输出:[2,1,4,null,null,3]
解释:2 不能在 3 的右子树中,因为 2 < 3 。交换 23 使二叉搜索树有效。

解决思路

根据题意可知,是二叉搜索树,这就是意味着节点之间是有顺序关系的。 如果我们把整棵树都 遍历 一遍,将遍历的结果保存下来,比如放到一个数组中。 那么这个数组应该是有序的。

既然是有序的那就好办了,我们将这个有序的数组遍历一遍。 如果数组是完全有序的,那么直接返回就可以了。 否则,我们找到顺序不一致的两个下标i和j,将arr[i].val和arr[j].val的值互换一下即可。

代码实现

/**
 * Definition for a binary tree node.
 * public class TreeNode {
 *     int val;
 *     TreeNode left;
 *     TreeNode right;
 *     TreeNode() {}
 *     TreeNode(int val) { this.val = val; }
 *     TreeNode(int val, TreeNode left, TreeNode right) {
 *         this.val = val;
 *         this.left = left;
 *         this.right = right;
 *     }
 * }
 */
class Solution {
    public List<TreeNode> list;
    public void recoverTree(TreeNode root) {
        list = new ArrayList();
        inOrder(root);
        TreeNode x = null;
        TreeNode y = null;
        for (int i = 0; i < list.size() - 1; i++) {
            if (list.get(i).val > list.get(i+1).val){
                y = list.get(i+1);
                if (x == null) {
                    x = list.get(i);
                }
            }
        }

        if (x != null && y != null) {
            int tmp = x.val;
            x.val = y.val;
            y.val = tmp;
        }
    }

    public void inOrder(TreeNode root) {
        if (root == null) return;
        inOrder(root.left);
        list.add(root);
        inOrder(root.right); 
    }
}

最后

复杂度分析:

  • 时间复杂度:O(N),其中 N 为二叉搜索树的节点数。中序遍历需要 O(N) 的时间,判断两个交换节点在最好的情况下是 O(1),在最坏的情况下是 O(N),因此总时间复杂度为 O(N)。

  • 空间复杂度:O(N)。我们需要用 数组存储树的中序遍历列表

往期文章:

请你喝杯 ☕️ 点赞 + 关注哦~

  1. 阅读完记得给我点个赞哦,有👍 有动力
  2. 关注公众号--- HelloWorld杰少,第一时间推送新姿势

最后,创作不易,如果对大家有所帮助,希望大家点赞支持,有什么问题也可以在评论区里讨论😄~