leetcode_783 二叉搜索树节点最小距离

88 阅读1分钟

要求

给你一个二叉搜索树的根节点 root ,返回 树中任意两不同节点值之间的最小差值 。

差值是一个正数,其数值等于两值之差的绝对值。

示例 1:

image.png

输入:root = [4,2,6,1,3]
输出:1

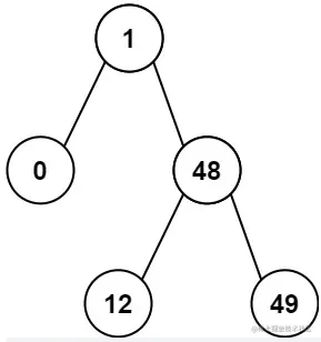
示例 2:

image.png

输入:root = [1,0,48,null,null,12,49]
输出:1

核心代码

class TreeNode:
    def __init__(self, val=0, left=None, right=None):
        self.val = val
        self.left = left
        self.right = right
        
class Solution:
    def minDiffInBST(self, root: TreeNode) -> int:
        def inorder(node):
            if not node:
                return []
            return inorder(node.left) + [node.val] + inorder(node.right)
        
        res = 99999999
        l = inorder(root)
        for i in range(1,len(l)):
            res = min(res,l[i] - l[i-1])
        return res

image.png

解题思路:和我们的530题是一模一样的,思路相同。