「LeetCode」65-有效数字⚡️

743 阅读2分钟

「这是我参与11月更文挑战的第1天,活动详情查看:2021最后一次更文挑战

大家好,我是速冻鱼🐟,一条水系前端💦,喜欢花里胡哨💐,持续沙雕🌲,是隔壁寒草🌿的好兄弟,刚开始写文章。 如果喜欢我的文章,可以关注➕点赞,为我注入能量,与我一同成长吧~

前言🌧️

算法,对前端人来说陌生又熟悉,很多时候我们都不会像后端工程师一样重视这项能力。但事实上,算法对每一个程序员来说,都有着不可撼动的地位。

因为开发的过程就是把实际问题转换成计算机可识别的指令,也就是《数据结构》里说的,「设计出数据结构,在施加以算法就行了」。

当然,学习也是有侧重点的,作为前端我们不需要像后端开发一样对算法全盘掌握,有些比较偏、不实用的类型和解法,只要稍做了解即可。

题目🦀

65. 有效数字

难度困难

有效数字(按顺序)可以分成以下几个部分:

  1. 一个 小数 或者 整数
  2. (可选)一个 'e''E' ,后面跟着一个 整数

小数(按顺序)可以分成以下几个部分:

  1. (可选)一个符号字符('+''-'
  2. 下述格式之一:
    1. 至少一位数字,后面跟着一个点 '.'
    2. 至少一位数字,后面跟着一个点 '.' ,后面再跟着至少一位数字
    3. 一个点 '.' ,后面跟着至少一位数字

整数(按顺序)可以分成以下几个部分:

  1. (可选)一个符号字符('+''-'
  2. 至少一位数字

部分有效数字列举如下:

  • ["2", "0089", "-0.1", "+3.14", "4.", "-.9", "2e10", "-90E3", "3e+7", "+6e-1", "53.5e93", "-123.456e789"]

部分无效数字列举如下:

  • ["abc", "1a", "1e", "e3", "99e2.5", "--6", "-+3", "95a54e53"]

给你一个字符串 s ,如果 s 是一个 有效数字 ,请返回 true

示例 1:

输入:s = "0"
输出:true

示例 2:

输入:s = "e"
输出:false

示例 3:

输入:s = "."
输出:false

示例 4:

输入:s = ".1"
输出:true

提示:

  • 1 <= s.length <= 20
  • s 仅含英文字母(大写和小写),数字(0-9),加号 '+' ,减号 '-' ,或者点 '.'

解题思路🌵

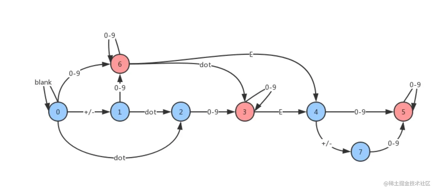
  • 本题可以采用《编译原理》里面的确定的有限状态机(DFA)解决。
  • 根据每个状态接收的字符切换下一个状态。

解题步骤🐂

  • 使用图的数据结构来表示状态。(JS可以使用对象来模拟图)

  • 遍历字符串,并沿着图走,如果到了某个节点无路可走就返回false。

  • 遍历结束,如走到3/5/6,就返回true,否则返回false。

源码🔥

/**
 * @param {string} s
 * @return {boolean}
 */
var isNumber = function(s) {
    const graph={
        0:{'blank':0,'.':2,'digit':6,'sign':1},
        1:{'digit':6,'.':2},
        2:{'digit':3},
        3:{'digit':3,'e':4,'E':4},
        4:{'digit':5,'sign':7},
        5:{'digit':5},
        6:{'digit':6,'.':3,'e':4,'E':4},
        7:{'digit':5}
    };

    let state=0;

    for(c of s.trim()){
      //转换字符
        if(c >=0 && c<=9){
            c='digit'
        }else if(c===' '){
            c='blank'
        }else if(c==='+'||c==='-'){
            c='sign';
        }
      //切换状态
        state=graph[state][c]
           if(state===undefined){
            return false
         }
    }
      if(state===3||state===6||state===5){
            return true
        }
    return false
  
};

时间复杂度:O(n) (n为字符串的长度)

空间复杂度:O(1)

结束语🌞

那么鱼鱼的LeetCode算法篇的「LeetCode」65-有效数字⚡️就结束了,算法这个东西没有捷径,只能多写多练,多总结,文章的目的其实很简单,就是督促自己去完成算法练习并总结和输出,菜不菜不重要,但是热爱🔥,喜欢大家能够喜欢我的短文,也希望通过文章认识更多志同道合的朋友,如果你也喜欢折腾,欢迎加我好友,一起沙雕,一起进步

github🤖:sudongyu

个人博客👨‍💻:速冻鱼blog

vx👦:sudongyuer

写在最后

伙伴们,如果喜欢我的口水话给🐟🐟点一个赞👍或者关注➕都是对我最大的支持。

加我微信:sudongyuer,邀你进群,一起学习前端,成为更优秀的工程师~(群二维码在这里->前端要早睡, 二维码过期了的话看链接沸点中的评论,我会把最新的二维码放在评论区,当然也可以加我微信我拉你进群,毕竟我也是有趣的前端,认识我也不赖🌟~