LeetCode刷题之二叉树的所有路径

187 阅读1分钟

小知识,大挑战!本文正在参与“程序员必备小知识”创作活动。

题意描述

给你一个二叉树的根节点 root ,按 任意顺序 ,返回所有从根节点到叶子节点的路径。

叶子节点 是指没有子节点的节点。

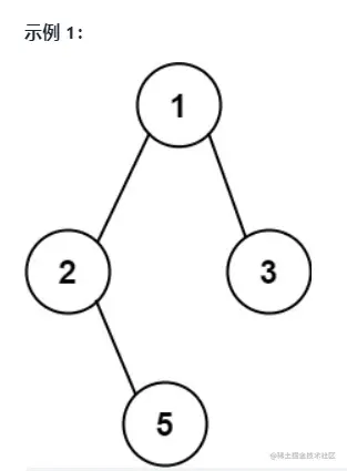
image-20211031220059085

输入:root = [1,2,3,null,5] 输出:["1->2->5","1->3"]

示例 2:

输入:root = [1] 输出:["1"]

思路1:递归+剪枝

  • 套用前序遍历递归模板
  • 递归终止条件:叶子节点
  • 递归终止,同时将这一分支的字符串加入到字符串数组中
class Solution {
    List<String> result = new ArrayList<>();
    private void helper(TreeNode root, String s, List<String> result) {
        //一个分支终止递归
        if(root.left == null && root.right == null) {
            result.add(s);
            return;
        }
        //递归遍历左子树
        if(root.left != null) {
            helper(root.left, s + "->" + root.left.val, result);
        }
        //递归遍历右子树
        if(root.right != null) {
            helper(root.right, s + "->" + root.right.val, result);
        }
    }
    public List<String> binaryTreePaths(TreeNode root) {  
        //boundary case
        if(root == null) {
            return result;
        }
        String s = "" + root.val;
        helper(root, s, result);
        return result;
    }
}


思路2:DFS

class Solution {
    public List<String> binaryTreePaths(TreeNode root) {
        List<String> result = new ArrayList<>();
        if (null == root) {
            return result;
        }
        helper(root, result, String.valueOf(root.val));
        return result;
    }

    private void helper(TreeNode node, List<String> result, String path) {
        //对当前节点进行处理,如果左右节点为空说明到达叶子节点,加入结果集,返回
        if (node.left == null && node.right == null) {
            result.add(path);
            return;
        }
        //处理左子树
        if (node.left != null) {
            helper(node.left, result, path + "->" + node.left.val);
        }
        //处理右子树
        if (node.right != null) {
            helper(node.right, result, path + "->" + node.right.val);
        }
    }
}

思路3:BFS

public List<String> bfs(TreeNode root){
        List<String> res = new ArrayList<>();
        if (root==null) return res;
        Queue<TreeNode> nodeQueue = new LinkedList<>();
        Queue<String> pathQueue = new LinkedList<>();
        nodeQueue.offer(root);
        pathQueue.offer(""+root.val);
        TreeNode cur;
        String path;
        while (!nodeQueue.isEmpty()){
            for (int i = nodeQueue.size(); i > 0; i--) {
                cur = nodeQueue.poll();
                path=pathQueue.poll();
                //当前节点为叶节点,将路径添加到res中
                if (cur.left==null&&cur.right==null)
                    res.add(path);
                //子节点和子节点相关的字符串进入队列
                if (cur.left!=null){
                    nodeQueue.offer(cur.left);
                    pathQueue.offer(path+"->"+cur.left.val);
                }
                if (cur.right!=null){
                    nodeQueue.offer(cur.right);
                    pathQueue.offer(path+"->"+cur.right.val);
                }
            }
        }
        return res;
    }