leetcode_671 二叉树中第二小的节点

836 阅读1分钟

要求

给定一个非空特殊的二叉树,每个节点都是正数,并且每个节点的子节点数量只能为 2 或 0。如果一个节点有两个子节点的话,那么该节点的值等于两个子节点中较小的一个。

更正式地说,root.val = min(root.left.val, root.right.val) 总成立。

给出这样的一个二叉树,你需要输出所有节点中的第二小的值。如果第二小的值不存在的话,输出 -1 。

示例 1:

image.png

输入:root = [2,2,5,null,null,5,7]
输出:5
解释:最小的值是 2 ,第二小的值是 5

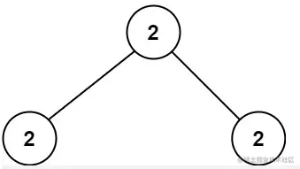
示例 2:

image.png

输入:root = [2,2,2]
输出:-1
解释:最小的值是 2, 但是不存在第二小的值。

核心代码

class TreeNode:
    def __init__(self, val=0, left=None, right=None):
        self.val = val
        self.left = left
        self.right = right
        
class Solution:
    def findSecondMinimumValue(self, root: TreeNode) -> int:
        res = []
        def dfs(node):
            if not node:
                return 
            if node.val != root.val:
                res.append(node.val)
            dfs(node.left)
            dfs(node.right)
        dfs(root)
        res.sort()
        return -1 if len(res) == 0 else res[0]

image.png

解题思路:我们使用深度优先遍历,搜索所有的节点上的值,遍历结束对数据进行排序,若没有数据,返回-1;因为我们有一个假设更正式地说,root.val = min(root.left.val, root.right.val) 总成立,所以加入到列表中排序后的第一个值就是第二小的值。