leetcode_110 平衡二叉树

100 阅读1分钟

要求

给定一个二叉树,判断它是否是高度平衡的二叉树。

本题中,一棵高度平衡二叉树定义为:

一个二叉树每个节点 的左右两个子树的高度差的绝对值不超过 1 。

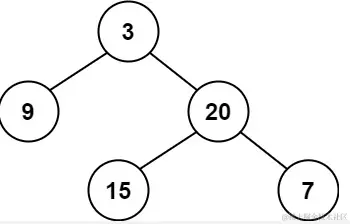
示例 1:

image.png

输入:root = [3,9,20,null,null,15,7]
输出:true

示例 2:

image.png

输入:root = [1,2,2,3,3,null,null,4,4]
输出:false

示例 3:

输入:root = []
输出:true

核心代码

class TreeNode:
    def __init__(self, val=0, left=None, right=None):
        self.val = val
        self.left = left
        self.right = right
        
class Solution:
    def isBalanced(self, root: TreeNode) -> bool:
        if not root:
            return True
        def getHeight(node,h):
            if not node:
                return h
            h += 1
            return max(getHeight(node.left,h),getHeight(node.right,h))

        l_height = getHeight(root.left,0)
        r_height = getHeight(root.right,0)
        return abs(l_height - r_height) <= 1 and self.isBalanced(root.left) and self.isBalanced(root.right)

image.png

解题思路:第一种解法:对于每个node,都判断一下其左右子树的相对高度,然后根据相对高度判断这个node满不满足条件,再递归地判断其左右孩子满不满足条件。这种思路会重复计算高度,所以会慢。