回归之一元线性回归理论部分

950 阅读2分钟

小知识,大挑战!本文正在参与“程序员必备小知识”创作活动。

回归一词最早由英国科学家弗朗西斯·高尔顿(Francis Galton)提出,他还是著名的生物学家、进化论奠基人查尔斯·达尔文(Charles Darwin)的表弟。 高尔顿发现,虽然有一个趋势:父母高,儿女也高;父母矮,儿女也矮。但给定父 母的身高,儿女辈的平均身高却趋向于或者“回归”到全体人口的平均身高。换句话说,即使父母双方都异常高或者异常矮,儿女的身高还是会趋向于人口总体的平均身高。这也就是所谓的普遍回归规律。 高尔顿的这一结论被他的朋友,英国数学家、数理统计学的创立者卡尔·皮尔逊 (Karl Pearson)所证实。皮尔逊收集了一些家庭的1000多名成员的身高记录,发现对于一个父亲高的群体,儿辈的平均身高低于他们父辈的身高;而对于一个父亲 矮的群体,儿辈的平均身高则高于其父辈的身高。这样就把高的和矮的儿辈一同 “回归”到所有男子的平均身高,用高尔顿的话说,这是“回归到中等”。

一元线性回归

  • 回归分析(regression analysis)用来建立方程模拟两个或者多个变量之间如何关联 ;
  • 被预测的变量叫做:因变量(dependent variable), 输出(output) • 被用来进行预测的变量叫做: 自变量(independent variable), 输入(input) ;
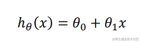
  • 一元线性回归包含一个自变量和一个因变量;
  • 以上两个变量的关系用一条直线来模拟,如果包含两个以上的自变量,则称作多元回归分析(multiple regression).

image.png

这个方程对应的图像是一条直线,称作回归线。其中, 𝜃1为回归线的斜率, 𝜃0为回归线的截距。