一文彻底搞懂二叉树三种遍历

554 阅读7分钟

小知识,大挑战!本文正在参与“程序员必备小知识”创作活动。

本文同时参与 「掘力星计划」     ,赢取创作大礼包,挑战创作激励金

关注公众号:高性能架构探索。后台回复【pdf】,可以免费领取计算机经典书籍

俗话说:学如逆水行舟,不进则退;心似平原走马,易放难收。这句话对程序员而言,体会更深。这行已经越来越卷了,时刻准备着,😃。 二叉树,在面试中,已是必备的开胃菜。而在二叉树相关的面试题目中,遍历更是常考题目。本文将从二叉树的遍历角度入手,从递归和非递归角度来分析和讲解二叉树的遍历。

遍历

二叉树的遍历是指从根节点出发,按照某种次序依次访问二叉树中的所有节点,使每个节点被且仅被访问一次。

二叉树的遍历,有先序遍历中序遍历以及后续遍历三种。

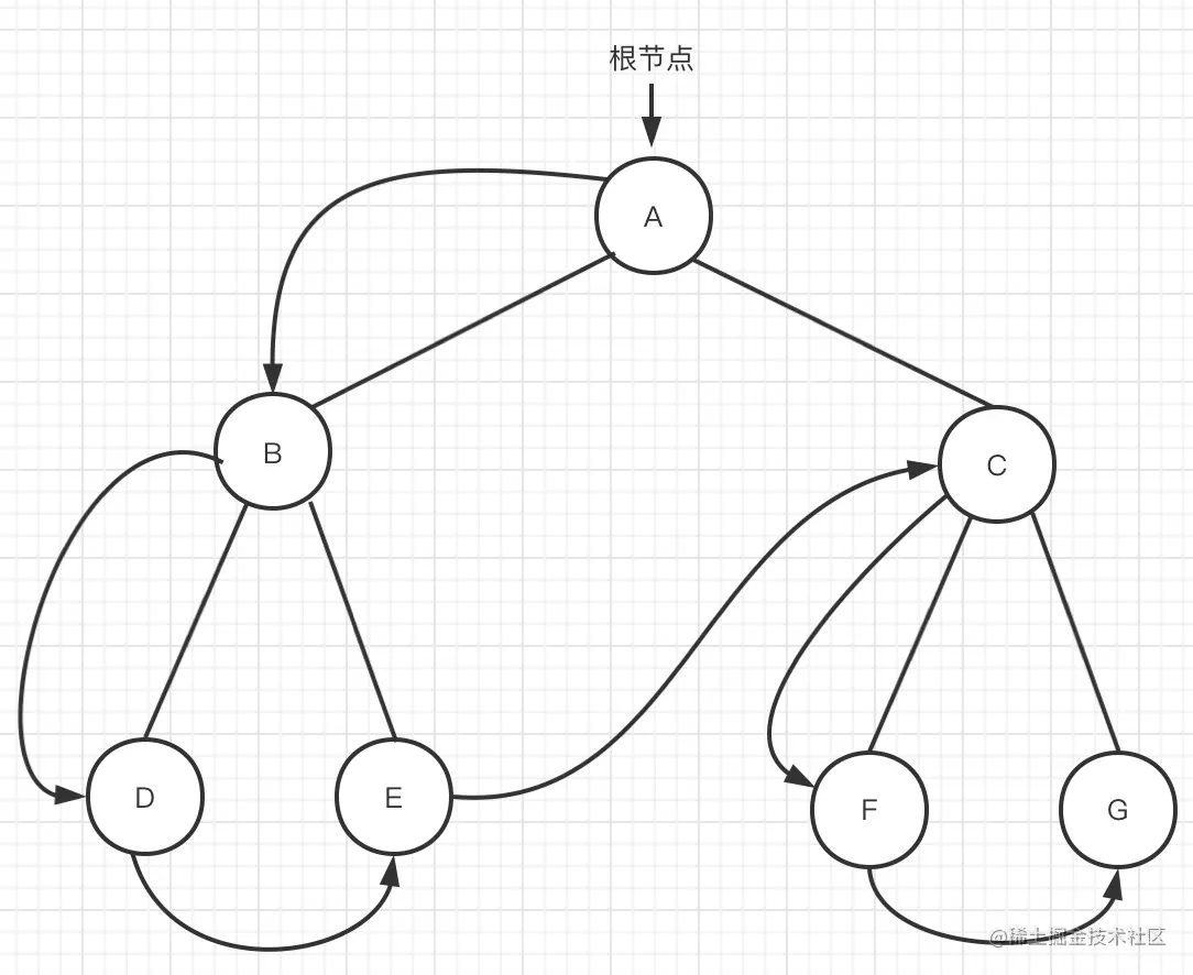
图一

上面三种遍历方式中的先序、中序以及后序三种方式,是父节点相对于子节点来说的。如果父节点先于子节点,那么就是先序遍历。如果子节点先于父节点,那么就是后序遍历。而对于子节点来说,如果先左节点,然后是父节点,然后再是右节点,那么就是中序遍历。

如【图一】所示二叉树。其三种遍历结果如下:

先序遍历: A->B->D->E->C->F->G

中序遍历: D->B->E->A->F->C->G

后续遍历: D->E->B->F->G->C->A

为了便于理解代码,我们先定义下树的节点定义:

struct TreeNode {
  TreeNode *left;
  TreeNode *right;
  int val;
};

先序遍历

定义:先访问父节点,然后遍历左子树,最后遍历右子树。

递归

相信递归遍历大家都会很容易写出来,且bugfree。因为实现代码很简单。

图二 先序遍历

在上图【图二】中,使用递归遍历,就是将其左子树和右子树也当做一棵树来进行处理。代码如下:

void PreOrder(TreeNode *root) {
   if (!root) {
     return;
   }
   
   // 遍历根节点(此处仅为输出,读者也可以根据实际需要进行处理,比如存储等)
   std::cout << root->val << std::endl;
   
   // 遍历左子树
   PreOrder(root->left);
   
   // 遍历右子树
   PreOrder(root->right);
}

非递归

在非递归操作中,我们仍然是按照先访问根节点,然后遍历左子树,接着遍历右子树的方式。

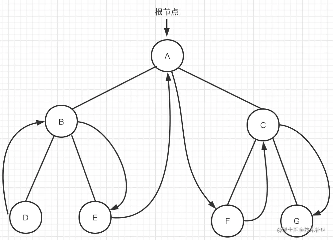
图三 先序遍历

  1. 到达节点A,访问节点A,开始遍历A的左子树

  2. 到达节点B,访问节点B,开始遍历B的左子树

  3. 到达节点D,访问节点D,因为节点D无子树,因此节点D遍历完成

    • 节点D遍历完成,意味着节点B的左子树遍历完成,因此接着遍历节点B的右子树
  4. 到达节点E,访问节点E。因为节点E无子树,因此节点E遍历完成

    • 节点E遍历完成,意味着节点B的右子树遍历完成,也预示着节点B的子树遍历完成
    • 开始遍历节点A的右子树
  5. 到达节点C,访问节点C。开始遍历C的左子树

  6. 到达节点F,访问节点F。因为节点F无子树,因此节点F遍历完成

    • 节点F遍历完成,意味着节点C的左子树遍历完成,因此开始遍历节点C的右子树
  7. 到的节点G,访问节点G。因为节点G无子树,因此节点G遍历完成

    • 节点G遍历完成,意味着节点C的右子树遍历完成,进而预示着节点C遍历完成
    • 节点C遍历完成,意味着节点A的右子树遍历完成,进而意味着节点A遍历完成,因此以A为根节点的树遍历完成。

用非递归方式遍历二叉树,需要引入额外的数据结构栈(stack),其基本流程如下: 1、申请一个栈stack,然后将头节点压入stack中。

2、从stack中弹出栈顶节点,打印

3、将其右孩子节点(不为空的话)先压入stack中

4、将其左孩子节点(不为空的话)压入stack中。

5、不断重复步骤2、3、4,直到stack为空,全部过程结束。

代码如下:

void PreOrder(TreeNode *root) {
  if (!root) {
    return;
  }
  
  std::stack<TreeNode*> s;
  s.push(root); // 步骤1
  
  while (!s.empty()) {
    auto t = s.top();
    s.pop();//出栈
    
    std::cout << t->val << std::endl; // 访问节点
    if (t->right) {
      s.push(t->right); // 对应步骤3
    }
    
    if (t->left) {
      s.push(t->left); // 对应步骤4
    }
  }
}

中序遍历

定义:先遍历左子树,访问根节点,遍历右子树

递归

图四 中序遍历

在上图【图四】中,使用递归遍历,就是将其左子树和右子树也当做一棵树来进行处理。代码如下:

void InOrder(TreeNode *root) {
   if (!root) {
     return;
   }
   
  
   
   // 遍历左子树
   InOrder(root->left);
   
    // 遍历根节点(此处仅为输出,读者也可以根据实际需要进行处理,比如存储等)
   std::cout << root->val << std::endl;
   
   // 遍历右子树
   InOrder(root->right);
}

上述中序遍历的递归代码,相比于先序遍历,只是将访问根节点的行为放在了遍历左右子树之间。

非递归

在非递归操作中,我们仍然是按照先遍历左子树,然后访问根节点,最后遍历右子树的方式。

图五 中序遍历

  1. 到达节点A,节点A有左子树,遍历节点A的左子树

  2. 到达节点B,节点B有左子树,遍历节点B的左子树

  3. 到达节点D,节点D无子树,访问D节点

    • 由于D无子树,意味着B的左子树遍历完成,那么就回到B节点
  4. 访问B节点,遍历B节点的右子树

  5. 到达节点E,节点E无子树,访问节点E

    • E节点遍历完成,意味着以B为根的子树遍历完成,回到A节点
  6. 到达A节点,访问A节点,遍历A节点的右子树

  7. 到达C节点,遍历C节点的左子树

  8. 到达F节点,因为F节点无子树,因此访问F节点。

    • 由于F节点无子树,意味着C节点的左子树遍历完成,回到C节点
  9. 到达C节点,访问C节点,遍历C的右子树

  10. 到达节点G,由于G无子树,因为访问节点G

  • G节点遍历完成,意味着C节点的右子树遍历完成,进而意味着A节点的右子树遍历完成,从意味着以A节点为根的二叉树遍历完成。

中序遍历,同样需要额外的辅助数据结构栈。

  1. 将根节点放入栈 2、如果根节点有左子树,则将左子树的根节点放入栈 3、重复步骤1和2.继续遍历左子树 4、从栈中弹出节点,进行访问,然后遍历右子树(重复步骤1和2) 5、如果栈为空,则遍历完成

代码如下:

void InOrder(TreeNode *root) {
  if (!root) {
    return;
  }
  
  std::stack<TreeNode*> s;
  auto p = root;
  
  while (!s.empty() || p) {
    if (p) { // 步骤1和2
      s.push(p);
      p = p->left;
    } else { // 步骤4
      auto t = s.top();
      std::cout << t->val << std::endl;
      p = t->right;
    }
  }
}

后续遍历

定义:先遍历左子树,再遍历右子树,最后访问根节点

递归

图六 后序遍历

void PostOrder(TreeNode *root) {
   if (!root) {
     return;
   }
   
   // 遍历左子树
   PostOrder(root->left);
   
   // 遍历右子树
   PostOrder(root->right);
   
    // 遍历根节点(此处仅为输出,读者也可以根据实际需要进行处理,比如存储等)
   std::cout << root->val << std::endl;
}

上面就是后续遍历的递归写法,比较写先序遍历、中序遍历以及后续遍历三者的递归遍历写法,大部分代码是一样的,唯一的区别就是访问根节点的代码位置不一样:

先序遍历:先访问根节点,然后遍历左子树,最后遍历右子树 中序遍历:先遍历左子树,然后访问根节点,最后遍历右子树 后序遍历:先遍历左子树,然后遍历右子树,最后访问根节点

非递归

在非递归操作中,我们仍然是按照先遍历左子树,然后访问根节点,最后遍历右子树的方式。

图七 后续遍历

  1. 到达节点A,遍历A的左子树

  2. 到达节点B,遍历B的左子树

  3. 到达节点D,由于D无子树,则访问节点D

    • 节点D无子树,意味着节点B的左子树遍历完成,接着遍历B的右子树
  4. 到达节点E,由于E无子树,则访问节点E

    • 节点E无子树,意味着节点B的右子树遍历完成,接回到节点B
  5. 访问节点B,回到节点B的根节点A

  6. 到达节点A,访问节点A的右子树

  7. 到达节点C,遍历节点C的左子树

  8. 到达节点F,由于节点F无子树,因此访问节点F

    • 节点F访问完成,意味着C节点的左子树遍历完成,因此回到节点C
  9. 到达节点C,遍历节点C的右子树

  10. 到达节点G,由于节点G无子树,因为访问节点G

  • 节点G访问完成,意味着C节点的右子树遍历完成,回到节点C
  1. 到达节点C,访问节点C
  • 节点C遍历完成,意味着节点A的右子树遍历完成,回到节点A
  1. 节点A的右子树遍历完成,访问节点A

用非递归方式遍历二叉树,需要引入额外的数据结构栈(stack),其基本流程如下: 1、申请两个栈stack,然后将头节点压入指定stack中。

2、从stack中弹出栈顶节点,放入另外一个栈中

3、将其左孩子节点(不为空的话)先压入stack中

4、将其右孩子节点(不为空的话)压入stack中。

5、不断重复步骤2、3、4,直到stack为空。

6、重复访问另外一个栈,直至栈空

void PostOrder(TreeNode *root) {
  if (!root) {
    return;
  }
  
  std::stack<TreeNode*> s1;
  std::stack<TreeNode*> s2;
  
  s1.push(root);
  
  while (!s1.empty()) {
    auto t = s1.top();
    s1.pop();
    s2.push(t);
    
    if (t->left) {
      s1.push(t->left);
    }
    
    if (t->right) {
      s1.push(t->right);
    }
  }
  
  while (!s2.empty()) {
    auto t = s2.top();
    s2.pop();
    std::cout << t->val << std::endl;
  }
}

结语

对于二叉树来说,所谓的遍历,是指沿着某条路线依次访问每个节点,且均只做一次访问。二叉树的遍历,是面试中常面算法之一,一定要把其弄懂,必要的时候,需要背诵,乃至做到肌肉记忆。