【图解算法】链表(上)链表反转、回文判断

756 阅读8分钟

链表的题目比较基础,但是越基础的题目就越考验代码功底,这几道题都是面试热题,大家务必掌握。面试时不必一次性给出最优解,而是从最简单的解决办法开始,一步一步优化。因为写得有点长,所以分为两部分。

问题描述

  1. 单链表和双向链表的反转。
  2. 打印两个有序链表的公共部分。
  3. 判断一个链表是否回文结构。

单链表反转

这题相对基础,一般会出现在面试中的第一道题,且可能要求写出递归和非递归的两种解法,如何又快又准地写出来是具有一定挑战性的,读者们不妨在脑海中思考下两种解法的轮廓,再结合文章看看有无遗漏之处。

首先来看看单链表的结构:

struct ListNode {
    int val; // 当前节点值
    ListNode *next; // 指向下一个节点
  
    ListNode(int x) : val(x), next(NULL) {} // 构造函数
};

一个单链表例子

首先来看看递归解法:

将链表分为两部分:head所在的头节点,已经反转了的部分reverse(head->next)

注意,这里该如何理解已经反转了的部分呢?我们假设我们已经完成了反转函数ListNode* reverse(ListNode *head),我们将head->next传入,则能得到反转后的头节点,因此下图中reverse(head->next)指向3

将链表分为两部分

接下来我们只需将这两部分进行反转即可,为此,我们得先获取反转部分的最后一个节点:

ListNode *p = reverse(head->next);
while(p != nullptr) {
    p = p->next;
}

获取反转部分的最后一个节点p

接下来,进行反转,head的下一个应该是NULL,而p的下一个为head

反转

完成了调转后,我们应该返回当前的头节点,也就是reverse(head->next)所指向的位置,完整代码如下:

ListNode *reverse(ListNode *head) { // 递归解法
    if (head == nullptr || head->next == nullptr) // 边界处理
        return head;
    ListNode *newHead = reverse(head->next);
    
    ListNode *p = newHead; // 获取后部分的最后一个节点指针
    while (p->next != nullptr) {
        p = p->next;
    }
    // 进行反转
  	head->next = nullptr;
    p->next = head;
    return newHead; // 返回当前头节点
}

接下来,我们看看非递归解法:

首先,我们使用两个指针进行移动标记:pre指向前一个节点,cur为当前节点,因为head处没有前一个节点,所以pre初始化为NULL

使用pre和cur指针进行移动标记

接下来反转节点1

先用temp指针记录cur->next

记录cur->next的位置

然后当前节点的next指向pre节点:

当前next指向前一个节点

再往下,则移动precur指针:

移动pre和cur指针

重复上述步骤,直到cur == NULL,反转完成,返回pre指针即可:

反转完成

完整代码:

ListNode *reverse(ListNode *head) { // 非递归解法
    ListNode *pre = nullptr;
    ListNode *cur = head;
    while (cur != nullptr) { // 移动 pre 和 cur,对所有节点进行反转
        ListNode *temp = cur->next;
        cur->next = pre;
        pre = cur;
        cur = temp;
    }
    return pre;
}

双向链表反转

前面讲完了单向链表的反转,双向链表实际上只是在前者的基础上增加对pre指针的考量:

struct ListNode {
    int val;
    ListNode *pre; // 指向前一个节点
    ListNode *next;

    ListNode(int x) : val(x), pre(NULL), next(NULL) {}
};

在递归解法中,要注意的headpre指针:

递归解法中增加pre指针

ListNode *reverse(ListNode *head) { // 递归解法
    if (head == nullptr)
        return head;
    if (head->next == nullptr) { // 不同点1:边界处理也要考虑到对pre指针的处理
        head->pre = nullptr;
        return head;
    }
    ListNode *newHead = reverse(head->next);
    ListNode *p = newHead; // 获取后部分的最后一个节点指针
    while (p->next != nullptr) {
        p = p->next;
    }
  	// 反转链表
  	head->next = nullptr;
    head->pre = p; // 不同点2:增加对head的pre指针的处理
    p->next = head;
    return newHead;
}

而在非递归解法中:

非递归解法中增加pre指针

ListNode *reverse(ListNode *head) { // 非递归解法
    ListNode *pre = nullptr;
    ListNode *cur = head;
    while (cur != nullptr) {
        ListNode *temp = cur->next;
        cur->pre = cur->next; // 增加对pre指针的处理
        cur->next = pre;
        pre = cur;
        cur = temp;
    }
    return pre;
}

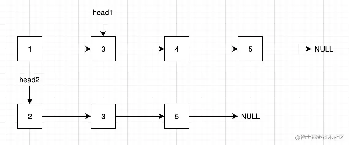
打印两个有序链表的公共部分。

【题目】 给定两个有序链表的头指针head1head2,打印链表的公共部分。 【解析】

这题实际上比较简单,但要注意理解题意,所谓有序链表,就是指按(升)序排列的链表,所谓公共部分,是指值相等的部分。如果面试过程中发现题意不是很清晰,是可以问面试官确认题意的。

【解答】

解法上就比较简单了,先来看一个例子:

例子我们每次对head1head2的值进行比较,如果head1的值小于head2的值,那么head1向后移动,将移动后的head1head2再次进行比较,相同则输出,否则按谁小谁动的规则,直到head1head2NULL

1小于2,所以1移动

2小于1,所以2动

因为head1->val == head2->val,所以输出head1->val,然后head1head2一起向前移动:

1和2相等,输出值,一起移动

如此往返,直到其中一个等于NULL,即停止。

代码如下:

void printPublicPart(ListNode *head1, ListNode *head2) {
    while (head1 != nullptr && head2 != nullptr) {
        if (head1->val > head2->val) { // 谁小谁动
            head2 = head2->next;
        } else if (head1->val < head2->val) { // 谁小谁动
            head1 = head1->next;
        } else { // 相等则输出
            cout << head1->val << " ";
            head1 = head1->next;
            head2 = head2->next;
        }
    }
}

判断一个链表是否回文结构

【题目】 给定一个链表的头节点head,请判断该链表是否为回文结构。 例如:

1->2->1,		返回true1->2->2->1,	返回true15->6->15,	返回true1->2->3,		返回false

【进阶】如果链表长度为N,时间复杂度达到O(N),额外空间复杂度达到O(1)。

【普通解法】

利用栈结构,我们将链表存起来,存完之后,再一个一个倒出来,同时遍历链表,将链表的节点和栈中取出的节点一一比较,但凡一个不同,则说明链表不是回文结构。

例子

如上图所示,我们先遍历一遍链表,将其节点一个个放入栈中, 这时从栈中推出的话就等于逆序遍历链表,再次顺序遍历链表,与栈中推出的节点比较,那么就相当于两个指针,分别指向链表的开始和结尾,一个往后移动,一个往前移动。如果两个指针指向的节点的值都相等,那么说明这个链表就是回文结构。

代码如下:

bool isPalindrome(ListNode *head) { // 使用栈,空间复杂度 O(N),时间复杂度 O(N)
    stack<int> listStack;
    ListNode *p = head;

    while (p != nullptr) { // 第一遍遍历,将链表放入栈中
        listStack.push(p->val);
        p = p->next;
    }
    p = head;
    while (p->next != nullptr) { // 第二遍遍历,两者从头一起往后移动
        int top = listStack.top();
        if (p->val != top) {
            return false;
        }
        listStack.pop();
        p = p->next;
    }
    return true;
}

【N/2的空间优化】

事实上,我们并不需要把所有节点都推入栈中,只需要一半即可。我们将链表划分为左右两半,然后将右半部分压入到栈中,再对链表的左半部分做一次遍历,同时弹出栈中节点进行比较。

来看一个例子:

例子

左边的栈是我们压入的右半部分节点,右边是我们对一个奇数个链表的划分(偶数个节点的链表怎么分左右就不用我说了吧,各一半就是了)。

接下来我们需要知道链表中如何快速找到中点:快慢指针

快慢指针获取链表中点位置

如上图所示,当fast->next == NULL || fast->next->next == NULL时,slow所在位置就是中点,(偶数个时,slow会位于右半区的第一个,奇数个时,如上图所示,位于中间,也就是右半区的前一个,所以我们需要进行调整)

注意这里的条件fast->next == NULL || fast->next->next == NULL,为什么不写成fast == NULL || fast->next == NULL呢?读者们可以思考一下。

事实上,在奇数个的链表中,这两种写法都能使得slow指针到达中点,但是对偶数个节点的链表来说,两种写法会影响最后slow的位置,多一个next,会使得slow多走一步,看看下图就明白了。

两种判断方式在偶数个链表中的影响

我们采用后者,这样可以和奇数个的统一起来slow->next得到右半部分的起始位置:

ListNode *getMid(ListNode *head) { 
    ListNode *slow = head, *fast = head;
    while (fast->next != nullptr && fast->next->next != nullptr) {
        slow = slow->next;          // 慢指针每次移动一步
        fast = fast->next->next;    // 快指针每次移动两步
    }
    return slow;
}
// 获取右半区第一个节点的指针
ListNode *right = getMid(head)->next;

当我们获取了右半部分的起始指针后,接下来就很简单了,先将右半部分全部入栈,然后再从左半部分开始,同时弹栈,比较二者。

bool isPalindrome(ListNode *head) {
    ListNode *left = head;
  	ListNode *right = getMid(head)->next; // 获取右半部分起始位置
    stack<int> rightStack;
    while (right != nullptr) { // 将右半部分入栈
        rightStack.push(right->val);
        right = right->next;
    }
    while (rightStack.empty()) { // 栈非空,则继续比较
        if (left->val != rightStack.top()) { // 如果左半部分和弹出的栈顶不同,说明为假
            return false;
        }
        left = left->next;
        rightStack.pop();
    }
    return true;
}

【O(1)的空间优化】

要将空间复杂度优化到O(1),还是比较考验技巧的,前面我们已经谈到了如何获取中间节点,接下来我们说说如何不使用栈:直接将后半部分原地反转:

例子 如上图所示,我们将链表转成上述结构后,只要分别从头和尾开始,同时比较,只要有不同则说明不是回文结构。至于如何原地反转:

ListNode *getReverseRight(ListNode *head) { // 获取反转后的右起始节点
    // 获取中点
    ListNode *pre = getMid(head);
    ListNode *cur = pre->next;
    pre->next = nullptr; // 将中点的 next 置空
    while (cur != nullptr) {
        ListNode *temp = cur->next;
        cur->next = pre;
        pre = cur;
        cur = temp;
    }
    return pre; // 此时 pre 指向反转后的右半部分的起始节点
}

偶数个节点的链表的反转结果:

偶数个节点的链表的反转结果

接下来只要从headpre开始,两两比较即可:

bool isPalindromeNoStack(ListNode *head) {
    ListNode *right = getReverseRight(head);
    while (head != nullptr && right != nullptr) {
        if (head->val != right->val) {
            return false;
        }
        head = head->next;
        right = right->next;
    }
    return true;
}