leetcode_112 路径总和

87 阅读1分钟

要求

给你二叉树的根节点 root 和一个表示目标和的整数 targetSum ,判断该树中是否存在 根节点到叶子节点 的路径,这条路径上所有节点值相加等于目标和 targetSum 。

叶子节点 是指没有子节点的节点。

示例 1:

image.png

输入:root = [5,4,8,11,null,13,4,7,2,null,null,null,1], targetSum = 22
输出:true

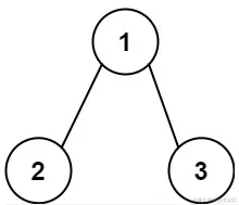
示例 2:

image.png

输入:root = [1,2,3], targetSum = 5
输出:false

示例 3:

输入:root = [1,2], targetSum = 0
输出:false

代码详解

class TreeNode:
    def __init__(self, val=0, left=None, right=None):
        self.val = val
        self.left = left
        self.right = right
        
        
class Solution:
    def hasPathSum(self, root: Optional[TreeNode], targetSum: int) -> bool:
        if not root:
            return False
        if not root.left and not root.right:
            return root.val == targetSum
        return self.hasPathSum(root.left,targetSum-root.val) or self.hasPathSum(root.right,targetSum-root.val)

image.png

解题思路:递归做减法,当我们的节点走到一个没有左节点和右节点的位置上,就是叶子节点,此时比较一下,看看会不会和目标值相等,不相等,在搜索其他值,知道遍历玩所有的节点。