以下内容主要来自:
Time Series Analysis (TSA) in Python - Linear Models to GARCH
目录
Autoregressive Models - AR(p)
独立的因变量可以由它的一个或者多个滞后项(lag)表示时,这样的模型称为自回归模型。它的式子为:
当我们需要描述模型的阶数时,AR模型中阶数 p 代表了滞后项的数量,举个例子,一个二阶的AR模型中,就有两个滞后项:
这里,a 代表了系数,w 是白噪声项。a 在 AR 模型中不能为零。注意这一点:一个 AR(1) 伴随着一个 a ,当 a 为1时就是一个随机漫步模型,因此是不稳定的:

下面我们来模拟一下AR(1)并且将a设置为0.6:
# Simulate an AR(1) process with alpha = 0.6
np.random.seed(1)
n_samples = int(1000)
a = 0.6
x = w = np.random.normal(size=n_samples)
for t in range(n_samples):
x[t] = a*x[t-1] + w[t]
_ = tsplot(x, lags=lags)
正如我们所预期的,AR(1) 模型是正态分布的。滞后值之间存在明显的序列相关性,尤其是滞后为1时,从PACF图中就可以证明这一点。
补充一点ACF和PACF的意义与理解:
ACF是X从 t-k 项到 t 项的影响程度,其中包含了中间的数据的影响,PACF是指剔除了X从 t-k 项到 t 项中间的 k - 1 项之后,t-k项到 t 项的影响程度。所以也可以看出当 k = 1时,ACF和PACF的值应该是一样的,k 不等于 1 时,它们二者的值应该不一样。
现在,我们通过 python 中的 statsmodels 来模拟 AR{p} 模型。首先我们用 AR 模型去拟合我们我的数据,然后返回估计的 a 系数。然后我们用 statsmodels 中的函数 select_order() 来看看是选择了正确的阶数。如果 AR 模型是正确的,那么它的 a 系数就会接近 0.6 阶数就会是 1。
# Fit an AR(p) model to simulated AR(1) model with alpha = 0.6
mdl = smt.AR(x).fit(maxlag=30, ic='aic', trend='nc')
%time est_order = smt.AR(x).select_order(
maxlag=30, ic='aic', trend='nc')
true_order = 1
p('\nalpha estimate: {:3.5f} | best lag order = {}'
.format(mdl.params[0], est_order))
p('\ntrue alpha = {} | true order = {}'
.format(a, true_order))
看来我们能够恢复我们模拟数据的参数。让我们用 a1 = 0.666 和 a2 = -0.333 模拟一个 AR(2) 过程。为了实现这个,我们可以利用 statsmodels 中的 arma_generate_samples() 函数。这个函数可以让我们模拟一个指定阶数的 AR 模型。注意在使用这个函数之前,有一些额外步骤需要执行,这是根据 python 版本的不同特性决定的。
# Simulate an AR(2) process
n = int(1000)
alphas = np.array([.666, -.333])
betas = np.array([0.])
# Python requires us to specify the zero-lag value which is 1
# Also note that the alphas for the AR model must be negated
# We also set the betas for the MA equal to 0 for an AR(p) model
# For more information see the examples at statsmodels.org
ar = np.r_[1, -alphas]
ma = np.r_[1, betas]
ar2 = smt.arma_generate_sample(ar=ar, ma=ma, nsample=n)
_ = tsplot(ar2, lags=lags)
让我们看看是否回复了正确的参数:
# Fit an AR(p) model to simulated AR(2) process
max_lag = 10
mdl = smt.AR(ar2).fit(maxlag=max_lag, ic='aic', trend='nc')
est_order = smt.AR(ar2).select_order(
maxlag=max_lag, ic='aic', trend='nc')
true_order = 2
p('\ncoef estimate: {:3.4f} {:3.4f} | best lag order = {}'
.format(mdl.params[0],mdl.params[1], est_order))
p('\ntrue coefs = {} | true order = {}'
.format([.666,-.333], true_order))
# coef estimate: 0.6291 -0.3196 | best lag order = 2
# true coefs = [0.666, -0.333] | true order = 2
并不差,现在让我们看看 AR(p) 模型是否可以拟合 MSFT 公司股价的对数收益。
# Select best lag order for MSFT returns
# lrets = np.log(data/data.shift(1)).dropna()
max_lag = 30
mdl = smt.AR(lrets.MSFT).fit(maxlag=max_lag, ic='aic', trend='nc')
est_order = smt.AR(lrets.MSFT).select_order(
maxlag=max_lag, ic='aic', trend='nc')
p('best estimated lag order = {}'.format(est_order))
# best estimated lag order = 23
最好的阶数是 23,也就是说有 23 个参数。任何模型有这么多参数在实际当中都不可能有用。显然会有比这个模型更复杂的模型可以来解释。
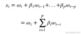
Moving Average Models - MA(q)
MA(q) 模型和 AR(p) 模型十分类似,不同的地方在于 MA(q) 模型是一个对过去白噪声误差项的线性组合,而 AR(p) 模型则是对过去观测值的线性组合。MA 模型的目的在于我们可以通过拟合一个模型中的误差项,来直接观察到误差过程中的 shocks ,而在 AR(p) 模型中,这些 shocks 是通过对过去观测值用 ACF 来间接得到的。MA(q) 的公式如下:
其中 w 是白噪声,且它的期望 E(w) = 0,让我们用 b = 0.6 来模拟 MA 的一阶模型。
# Simulate an MA(1) process
n = int(1000)
# set the AR(p) alphas equal to 0
alphas = np.array([0.])
betas = np.array([0.6])
# add zero-lag and negate alphas
ar = np.r_[1, -alphas]
ma = np.r_[1, betas]
ma1 = smt.arma_generate_sample(ar=ar, ma=ma, nsample=n)
_ = tsplot(ma1, lags=30)
从ACF中可以看出,滞后1是很明显的,所以说MA(1)模型可能会适合我们的模拟数据。
不论如何,我们可以尝试用一个 MA(1) 的模型来拟合我们的数据。我们同样可以用 statsmodels 中的ARMA()函数来确定阶数。我们调用 fit() 方法来返回模型的输出。
# Fit the MA(1) model to our simulated time series
# Specify ARMA model with order (p, q)
max_lag = 30
mdl = smt.ARMA(ma1, order=(0, 1)).fit(
maxlag=max_lag, method='mle', trend='nc')
p(mdl.summary())
模型可以估计出滞后项系数为0.58,这很接近0.6。另外,我们95%的置信区间中包含了真值。
下面我们来模拟一个MA(3)的序列,然后用我们ARMA函数来拟合一个三阶的MA模型,然后看是否可以回复正确的滞后系数(0.6,0.4,0.2)。
# Simulate MA(3) process with betas 0.6, 0.4, 0.2
n = int(1000)
alphas = np.array([0.])
betas = np.array([0.6, 0.4, 0.2])
ar = np.r_[1, -alphas]
ma = np.r_[1, betas]
ma3 = smt.arma_generate_sample(ar=ar, ma=ma, nsample=n)
_ = tsplot(ma3, lags=30)
# Fit MA(3) model to simulated time series
max_lag = 30
mdl = smt.ARMA(ma3, order=(0, 3)).fit(
maxlag=max_lag, method='mle', trend='nc')
p(mdl.summary())
同样在95%的置信区间中包含了这三个真值。现在让我们用一个 MA(3) 来拟合SPY的对数收益,记住我们不知道真正的参数值。
# Fit MA(3) to SPY returns
max_lag = 30
Y = lrets.SPY
mdl = smt.ARMA(Y, order=(0, 3)).fit(
maxlag=max_lag, method='mle', trend='nc')
p(mdl.summary())
_ = tsplot(mdl.resid, lags=max_lag)
让我们一起看一下模型的残差:
效果还不错,但是ACF中的一些滞后,尤其是在5,16和18处特别突出。它们可能是抽样误差,但是由于 heavy tail 让我认为这并不是预测SPY收益的最佳模型。
----------------------------------------------------------------------------------------------------------------------------------------
补充一点关于根据ACF和PACF来选择合适AR或者MA模型来拟合数据的方法:
首先明确两个概念:截尾和拖尾。
截尾就是在图中的某阶之后,系数都变为 0 。拖尾就是每一阶都在衰减,但是不都为 0 。
如果自相关图拖尾,偏相关截尾,则用 AR 算法
如果自相关截尾,偏相关拖尾,则用 MA 算法
如果自相关和偏相关都是拖尾,则用 ARMA 算法
Time Series Analysis (TSA) in Python-Linear Models to GRACH 笔记(四)