n! 在m进制下末尾0的个数(含大量注释)

488 阅读3分钟

小知识,大挑战!本文正在参与“程序员必备小知识”创作活动。

一、思路:

1、先从10进制思考

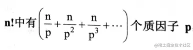
可以先从10进制下末尾0的个数开始思考,先求出10的质因数,很显然是2 * 5,因此我们需要求n!的结果有多少2 * 5,但是我们先求n!有多少2以及有多少5,之后取最小的那个值即为有多少个2 *5了。举个例子,要求320有多少2 * 5,320 = 262^6 * 5,那么显然只有一个2 * 5,所以320在10进制下末尾就只有一个0。之后加入阶乘思考,例如思考25!在十进制下末尾有多少0,这里我们引入一个公式:

在这里插入图片描述

那么可以计算出25!有22个2,6个5,那么25!的末尾就有6个0了。

2、推广到m进制

通过对10进制的思考,可以类比到任意的m进制,例如求n!在3进制下末尾0的个数,即找n!里有几个3。再例如求n!在9进制下末尾0的个数,由于33=9,即找n!里有几个33,即3的个数除以2。

二、代码

#include<iostream>
#include<algorithm>
#include<vector>
#include<string>

using namespace std;

#define ll long long
const ll maxn = 1e6 + 5;
const ll mod = 1e9 + 7;
const double eps = 1e-9;
const double pi = acos(-1.0);
const ll inf = 0x3f3f3f3f;

ll n, b;//n是底数,b是进制,例如5的二进制,那么n是5,b是2
ll prime[maxn];//记录每个元素是不是质数,prime[i] = 0说明i是质数
vector<ll> ve;//记录所有的质数

/*
初始化
首先对prime初始化,如果prime中元素对应的下标i是质数,那么prime[i]是0
将质数都加入到ve中
*/
void init() {
	for (ll i = 2; i <= 1000000; i++) {
		if (!prime[i]) {
			ve.push_back(i);
			for (ll j = 2 * i; j <= 1000000; j += i) {
				prime[j] = 1;
			}
		}
	}
}

//依据博客里的公式求x!里有有少个质因数pp
ll get(ll pp, ll x) {//pp是进制b的一个质因数,x是底数n
	ll res = 0;

	while (x) {
		res += x / pp;
		x /= pp;
	}
	return res;
}

ll cnt[maxn], num[maxn];
void solve() {
	ll f = b;
	//计算进制b的质因数,cnt记录数量,例如b = 18,18 = 2*3*3, 那么cnt[2]=1,cnt[3]=2
	for (ll i = 0; i < ve.size(); i++) {
		if (f == 1) break;
		while (f%ve[i] == 0) {
			cnt[ve[i]]++;
			f /= ve[i];
		}
	}
	//这一步是求对于底数n的每一个质因数ve[i],求出n!有多少个ve[i]
	for (ll i = 0; i < ve.size(); i++) {
		if (cnt[ve[i]]) {
			num[ve[i]] = get(ve[i], n);
		}
	}
	ll ans = 1e18 + 10;
	if (f != 1) ans = min(ans, get(f, n));
	/*
	这一步除法是求出n!的每一个因数的个数
	例如当进制是18时,18 = 2*3*3
	那么求出来质因数3的个数后,显然需要除以2,因为我们最终是希望得到2*9(18)的个数
	*/
	for (ll i = 0; i < ve.size(); i++) {
		if (cnt[ve[i]]) {
			ans = min(ans, num[ve[i]] / cnt[ve[i]]);
		}
	}
	cout << ans << endl;
}