[剑指Offer]:二叉搜索树与双向链表

158 阅读2分钟

文章目录


题目描述

输入一棵二叉搜索树,将该二叉搜索树转换成一个排序的循环双向链表。要求不能创建任何新的节点,只能调整树中节点指针的指向。

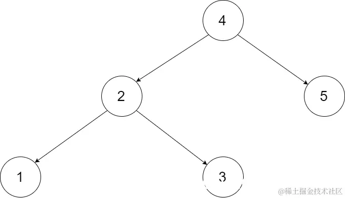
为了让您更好地理解问题,以下面的二叉搜索树为例:

在这里插入图片描述

我们希望将这个二叉搜索树转化为双向循环链表。链表中的每个节点都有一个前驱和后继指针。对于双向循环链表,第一个节点的前驱是最后一个节点,最后一个节点的后继是第一个节点。

下图展示了上面的二叉搜索树转化成的链表。“head” 表示指向链表中有最小元素的节点。

在这里插入图片描述

特别地,我们希望可以就地完成转换操作。当转化完成以后,树中节点的左指针需要指向前驱,树中节点的右指针需要指向后继。还需要返回链表中的第一个节点的指针。

题解思路

二叉搜索树的中序遍历为 递增序列

二叉搜索树 转换成一个 “排序的循环双向链表” ,其中包含三个要素:

  • 排序链表: 节点应从小到大排序,因此应使用 中序遍历 “从小到大”访问树的节点;
  • 双向链表: 在构建相邻节点(设前驱节点 pre ,当前节点 cur )关系时,不仅应 pre->right=cur ,也应 cur->left=pre
  • 循环链表: 链表头节点 head 和尾节点 pre ,则应构建 head->left=prepre->right=head

代码实现:

/*
// Definition for a Node.
class Node {
public:
    int val;
    Node* left;
    Node* right;

    Node() {}

    Node(int _val) {
        val = _val;
        left = NULL;
        right = NULL;
    }

    Node(int _val, Node* _left, Node* _right) {
        val = _val;
        left = _left;
        right = _right;
    }
};
*/
class Solution {
public:
    Node* treeToDoublyList(Node* root) {
        if(!root) return nullptr;
        Node* head = nullptr, *pre =nullptr;    // head保存头结点,pre保存中序遍历过程中的上一个节点
        inOrder(root, head, pre);
        head->left = pre;
        pre->right = head;
        return head;
    }
    
    void inOrder(Node* cur, Node* &head, Node* &pre){
        if(!cur) return;
        inOrder(cur->left, head, pre);

        if(!pre) head = cur;    // 说明当前是第一个节点,作为头结点
        else{
            cur->left = pre;
            pre->right = cur;
        }
        pre = cur;

        inOrder(cur->right, head, pre);
    }
};