leetcode_257 二叉树的所有路径

88 阅读1分钟

给你一个二叉树的根节点 root ,按 任意顺序 ,返回所有从根节点到叶子节点的路径。

叶子节点 是指没有子节点的节点。

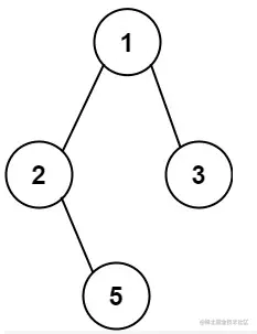
  示例 1:

image.png

输入:root = [1,2,3,null,5]
输出:["1->2->5","1->3"]

示例 2:

输入:root = [1]
输出:["1"]

代码详解

class TreeNode:
    def __init__(self, val=0, left=None, right=None):
        self.val = val
        self.left = left
        self.right = right
        
class Solution:
    def binaryTreePaths(self, root: TreeNode) -> List[str]:
        if not root:
            return []

        paths = []
        def dfs(root,curr):
            if root.left is None and root.right is None:
                paths.append(curr+str(root.val))
                return
            
            if root.left:
                dfs(root.left,curr + str(root.val) + "->")
            if root.right:
                dfs(root.right,curr + str(root.val) + "->")
        
        curr=""
        dfs(root,curr)
        return paths

image.png

次重点问题

解题思路:

这是一道树的遍历的问题,我们使用深度遍历,在遍历的过程中,不断的将当前节点的信息添加到搜索的路径信息中,直到是叶子节点结束,什么都不用返回即可。