Matplot pyplot绘制单图,多子图不同样式详解,这一篇就够了

3,119 阅读11分钟

Matplot pyplot绘制单图,多子图不同样式详解,这一篇就够了

matplotlib.pyplot 是使 matplotlib 像 MATLAB 一样工作的函数集合。这篇博客将介绍

  1. 单图单线
  2. 单图多线不同样式(红色圆圈、蓝色实线、绿色三角等)
  3. 使用关键字字符串绘图(data 可指定依赖值为:numpy.recarray 或 pandas.DataFrame)
  4. 使用分类变量绘图(绘制条形图、散点图、折线图)
  5. 多子表多轴及共享轴
  6. 多子表(水平堆叠、垂直堆叠、水平垂直堆叠、水平垂直堆叠共享轴、水平垂直堆叠去掉子图中间的冗余xy标签及间隙、极坐标风格轴示例);
  • plt.set_title(‘simple plot’, loc = 'left')
    设置表示标题,默认位于中间,也可位于left靠左,right靠右

  • t = plt.xlabel('Smarts', fontsize=14, color='red')
    表示设置x标签的文本,字体大小,颜色

  • plt.plot([1, 2, 3, 4])
    如果提供的单个列表或数组,matplot假定提供的是y的值;x默认跟y个数一致,但从0开始,表示x:[0,1,2,3]

  • plt.plot([1, 2, 3, 4], [1, 4, 9, 16])
    表示x:[1,2,3,4],y:[1,4,9,16]

  • plt.plot([1, 2, 3, 4], [1, 4, 9, 16], 'ro') 表示x:[1,2,3,4],y:[1,4,9,16],然后指定线的颜色和样式(ro:红色圆圈,b-:蓝色实线等)

  • plt.axis([0, 6, 0, 20]) plt.axix[xmin, xmax, ymin, ymax] 表示x轴的刻度范围[0,6], y轴的刻度范围[0,20]

  • plt.bar(names, values) # 条形图

  • plt.scatter(names, values) # 散点图

  • plt.plot(names, values) # 折线图

  • fig, ax = plt.subplots(2, sharex=True, sharey=True) 可创建多表,并指定共享x,y轴,然后ax[0],ax[1]绘制data

  • fig, (ax1, ax2) = plt.subplots(2, sharex=True, sharey=True) 可创建多表,并指定共享x,y轴

  • fig, (ax1, ax2) = plt.subplots(2, sharex=True, sharey=True) 可创建多表,垂直堆叠表 2行1列

  • fig, (ax1, ax2) = plt.subplots(1, 2, sharex=True, sharey=True) 可创建多表,水平堆叠表 1行2列

  • fig, (ax1, ax2) = plt.subplots(2, 2, sharex=True, sharey=True,hspace=0,wspace=0) 可创建多表,水平垂直堆叠表 2行2列,共享x,y轴,并去除子图宽度和高度之间的缝隙

共享x,y轴表示共享x,y轴的刻度及值域;

  • plt.text(60, .025, r'μ=100, σ=15\mu=100,\ \sigma=15')
    表示在60,0.025处进行文本(μ=100, σ=15\mu=100,\ \sigma=15)的标注

1. 单图单线

在这里插入图片描述在这里插入图片描述

# 单图单线
import matplotlib.pyplot as plt

# 如果提供单个列表或数组,matplotlib 会假定它是一个 y 值序列,并自动为您生成 x 值。
# 由于 python 范围从 0 开始,默认的 x 向量与 y 具有相同的长度,但从 0 开始。因此 x 数据是 [0, 1, 2, 3]
plt.plot([1, 2, 3, 4])
plt.ylabel('some numbers')
plt.show()

plt.plot([1, 2, 3, 4], [1, 4, 9, 16])
plt.show()

# 对于每对 x, y 参数,都有一个可选的第三个参数,它是指示绘图颜色和线型的格式字符串。
# 格式字符串的字母和符号来自 MATLAB,将颜色字符串与线型字符串连接起来。默认格式字符串是“b-”,这是一条蓝色实线。'ro'红色圆圈
plt.plot([1, 2, 3, 4], [1, 4, 9, 16], 'ro')
plt.axis([0, 6, 0, 20])  # 刻度轴的范围,x:0~6,y:0~20
plt.show()

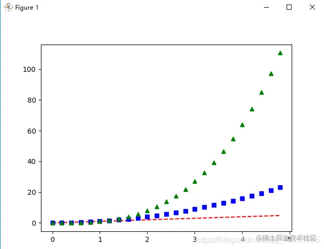
2. 单图多线不同样式(红色圆圈、蓝色实线、绿色三角等)

  • ’b-‘:蓝色实线
  • 'ro':红色圆圈
  • 'r--':红色破折号
  • 'bs':蓝色方形
  • 'g^':绿色三角

线的颜色和样式可参考

mark标记:

'.' point marker ',' pixel marker 'o' circle marker 'v' triangle_down marker '^' triangle_up marker '<' triangle_left marker '>' triangle_right marker '1' tri_down marker '2' tri_up marker '3' tri_left marker '4' tri_right marker '8' octagon marker 's' square marker 'p' pentagon marker 'P' plus (filled) marker '*' star marker 'h' hexagon1 marker 'H' hexagon2 marker '+' plus marker 'x' x marker 'X' x (filled) marker 'D' diamond marker 'd' thin_diamond marker '|' vline marker '_' hline marker

  • 支持的颜色:

'b' blue 蓝色 'g' green 绿色 'r' red 红色 'c' cyan 兰青色 'm' magenta 紫色 'y' yellow 黄色 'k' black 黑色 'w' white 白色

  • 支持的点的样式:

'-' solid line style 实线 '--' dashed line style 虚线 '-.' dash-dot line style 点划线 ':' dotted line style 虚线

在这里插入图片描述

import matplotlib.pyplot as plt

import numpy as np

# 以 200 毫秒的间隔均匀采样时间
t = np.arange(0., 5., 0.2)

# 'r--':红色破折号,  'bs':蓝色方形 ,'g^':绿色三角
plt.plot(t, t, 'r--', t, t ** 2, 'bs', t, t ** 3, 'g^')
plt.show()

3. 使用关键字字符串绘图(data 可指定依赖值为:numpy.recarray 或 pandas.DataFrame)

在这里插入图片描述

import matplotlib.pyplot as plt

import numpy as np

# 使用关键字字符串绘图(data 可指定依赖值为:numpy.recarray 或 pandas.DataFrame)
data = {'a': np.arange(50),  # 1个参数,表示[0,1,2...,50]
        'c': np.random.randint(0, 50, 50),  # 表示产生50个随机数[0,50)
        'd': np.random.randn(50)}  # 返回呈标准正态分布的值(可能正,可能负)
data['b'] = data['a'] + 10 * np.random.randn(50)
data['d'] = np.abs(data['d']) * 100

print(np.arange(50))
print(np.random.randint(0, 50, 50))
print(np.random.randn(50))
print(data['b'])
print(data['d'])

plt.scatter('a', 'b', c='c', s='d', data=data)
plt.xlabel('entry a')
plt.ylabel('entry b')
plt.show()

4. 使用分类变量绘图(绘制条形图、散点图、折线图)

  • plt.bar(names, values) # 条形图
  • plt.scatter(names, values) # 散点图
  • plt.plot(names, values) # 折线图

在这里插入图片描述

import matplotlib.pyplot as plt

import numpy as np

# 用分类变量绘图
names = ['group_a', 'group_b', 'group_c']
values = [1, 10, 100]

plt.figure(figsize=(9, 3))

plt.subplot(131)
plt.bar(names, values)  # 条形图
plt.subplot(132)
plt.scatter(names, values)  # 散点图
plt.subplot(133)
plt.plot(names, values)  # 折线图
plt.suptitle('Categorical Plotting')
plt.show()

# 控制线条属性:线条有许多可以设置的属性:线宽、虚线样式、抗锯齿等;
lines = plt.plot(10, 20, 30, 100)
# use keyword args
plt.setp(lines, color='r', linewidth=2.0)
# or MATLAB style string value pairs
plt.setp(lines, 'color', 'r', 'linewidth', 2.0)
line, = plt.plot(np.arange(50), np.arange(50) + 10, '-')
plt.show()

5. 多子表多轴及共享轴

多子表多轴,先用点再用线连接,效果图如下: 在这里插入图片描述多子表多轴,绘制点效果图如下: 在这里插入图片描述

import matplotlib.pyplot as plt
import numpy as np


# 多表和多轴
def f(t):
    return np.exp(-t) * np.cos(2 * np.pi * t)


t1 = np.arange(0.0, 5.0, 0.1)
t2 = np.arange(0.0, 5.0, 0.02)

plt.figure()
plt.subplot(211)  # 2行1列共俩个子表,中间的2,1,1同211
plt.plot(t1, f(t1), 'bo', t2, f(t2), 'k')  # 绘制蓝色圆圈(t1,f(t1)),然后用黑色线连接值

plt.subplot(212)
plt.plot(t2, np.cos(2 * np.pi * t2), 'r--')
plt.show()

# 图1去掉t2,f(t2)并没有把结果进行连线
plt.figure()
plt.subplot(211)  # 2行1列共俩个子表,中间的2,1,1同211
plt.plot(t1, f(t1), 'bo')

plt.subplot(212)
plt.plot(t2, np.cos(2 * np.pi * t2), 'r--')
plt.show()

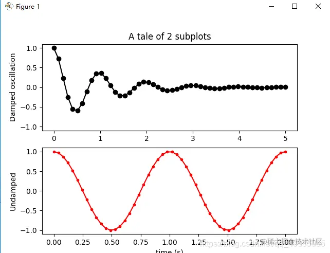
多子表共享y轴,效果图如下:

fig, (ax1, ax2) = plt.subplots(2, sharey=True) 共享y轴

在这里插入图片描述

# 多子表共享轴
import numpy as np
import matplotlib.pyplot as plt

# 构建绘图数据
x1 = np.linspace(0.0, 5.0)
x2 = np.linspace(0.0, 2.0)
y1 = np.cos(2 * np.pi * x1) * np.exp(-x1)
y2 = np.cos(2 * np.pi * x2)

# 绘制俩个子图,共享y轴
fig, (ax1, ax2) = plt.subplots(2, sharey=True)

ax1.plot(x1, y1, 'ko-')
ax1.set(title='A tale of 2 subplots', ylabel='Damped oscillation')

ax2.plot(x2, y2, 'r.-')
ax2.set(xlabel='time (s)', ylabel='Undamped')

plt.show()

6. 多子表

6.1 多子表垂直堆叠

在这里插入图片描述

6.2 多子表水平堆叠

在这里插入图片描述

6.3 多子表垂直水平堆叠

隐藏顶部2子图的x标签,和右侧2子图的y标签,效果图如下: 在这里插入图片描述 同上图,共享x列,y行的坐标轴~ 在这里插入图片描述

6.4 多子表共享轴(去除垂直、水平堆叠子表之间宽度和高度之间的缝隙)

共享x轴并对齐,效果图如下: 在这里插入图片描述 共享x,y轴效果如下图:

共享x,y轴表示共享其值域及刻度;

在这里插入图片描述

对于共享轴的子图,一组刻度标签就足够了。内部轴的刻度标签由 sharex 和 sharey 自动删除。子图之间仍然有一个未使用的空白空间;

要精确控制子图的定位,可以使用fig.add_gridspec(hspace=0) 减少垂直子图之间的高度。fig.add_gridspec(wspace=0) 减少水平子图之间的高度。

共享x,y轴,并删除多个子表之间高度的缝隙,效果如下图: 在这里插入图片描述 共享x,y轴,并删除多个子表冗余xy标签,及子图之间宽度、高度的缝隙,效果如下图: 在这里插入图片描述

6.5 多子表极坐标风格轴

在这里插入图片描述

6.6 多子表源码

# 多子表示例:水平堆叠、垂直堆叠、水平垂直堆叠、水平垂直堆叠共享轴、水平垂直堆叠去掉子图中间的冗余xy标签及间隙;

import matplotlib.pyplot as plt
import numpy as np

# 样例数据
x = np.linspace(0, 2 * np.pi, 400)
y = np.sin(x ** 2)


def single_plot():
    fig, ax = plt.subplots()
    ax.plot(x, y)
    ax.set_title('A single plot')
    plt.show()


def stacking_plots_one_direction():
    # pyplot.subplots 的前两个可选参数定义子图网格的行数和列数。
    # 当仅在一个方向上堆叠时,返回的轴是一个一维 numpy 数组,其中包含创建的轴列表。
    fig, axs = plt.subplots(2)
    fig.suptitle('Vertically stacked subplots')
    axs[0].plot(x, y)
    axs[1].plot(x, -y)
    plt.show()

    # 当只创建几个 Axes,可将它们立即解压缩到每个 Axes 的专用变量会很方便
    fig, (ax1, ax2) = plt.subplots(2)
    fig.suptitle('Vertically stacked subplots')
    ax1.plot(x, y)
    ax2.plot(x, -y)
    plt.show()

    # 水平方向堆叠子图
    fig, (ax1, ax2) = plt.subplots(1, 2)
    fig.suptitle('Horizontally stacked subplots')
    ax1.plot(x, y)
    ax2.plot(x, -y)
    plt.show()


def stacking_plots_two_directions():
    # 在两个方向上堆叠子图时,返回的 axs 是一个 2D NumPy 数组。表示俩行俩列的表
    fig, axs = plt.subplots(2, 2)
    axs[0, 0].plot(x, y)
    axs[0, 0].set_title('Axis [0, 0]')
    axs[0, 1].plot(x, y, 'tab:orange')
    axs[0, 1].set_title('Axis [0, 1]')
    axs[1, 0].plot(x, -y, 'tab:green')
    axs[1, 0].set_title('Axis [1, 0]')
    axs[1, 1].plot(x, -y, 'tab:red')
    axs[1, 1].set_title('Axis [1, 1]')

    for ax in axs.flat:
        ax.set(xlabel='x-label', ylabel='y-label')

    # 隐藏顶部2子图的x标签,和右侧2子图的y标签
    for ax in axs.flat:
        ax.label_outer()
    plt.show()

    # 也可以在 2D 中使用元组解包将所有子图分配给专用变量
    fig, ((ax1, ax2), (ax3, ax4)) = plt.subplots(2, 2)
    fig.suptitle('Sharing x per column, y per row')
    ax1.plot(x, y)
    ax2.plot(x, y ** 2, 'tab:orange')
    ax3.plot(x, -y, 'tab:green')
    ax4.plot(x, -y ** 2, 'tab:red')

    for ax in fig.get_axes():
        ax.label_outer()
    plt.show()


def sharing_axs():
    fig, (ax1, ax2) = plt.subplots(2)
    fig.suptitle('Axes values are scaled individually by default')
    ax1.plot(x, y)
    ax2.plot(x + 1, -y)
    plt.show()

    # 共享x轴,对齐x轴
    fig, (ax1, ax2) = plt.subplots(2, sharex=True)
    fig.suptitle('Aligning x-axis using sharex')
    ax1.plot(x, y)
    ax2.plot(x + 1, -y)
    plt.show()

    # 共享x,y轴
    fig, axs = plt.subplots(3, sharex=True, sharey=True)
    fig.suptitle('Sharing both axes')
    axs[0].plot(x, y ** 2)
    axs[1].plot(x, 0.3 * y, 'o')
    axs[2].plot(x, y, '+')
    plt.show()

    # 对于共享轴的子图,一组刻度标签就足够了。内部轴的刻度标签由 sharex 和 sharey 自动删除。子图之间仍然有一个未使用的空白空间;
    # 要精确控制子图的定位,可以使用 Figure.add_gridspec 显式创建一个 GridSpec,然后调用其子图方法。例如可以使用 add_gridspec(hspace=0) 减少垂直子图之间的高度。
    fig = plt.figure()
    gs = fig.add_gridspec(3, hspace=0)
    axs = gs.subplots(sharex=True, sharey=True)
    fig.suptitle('Sharing both axes')
    axs[0].plot(x, y ** 2)
    axs[1].plot(x, 0.3 * y, 'o')
    axs[2].plot(x, y, '+')

    # 隐藏除了底部x标签及刻度外,其他子图的x标签及刻度
    # label_outer 是一种从不在网格边缘的子图中删除标签和刻度的方便方法。
    for ax in axs:
        ax.label_outer()
    plt.show()

    # 2*2多图堆叠,共享x,y轴,并去除子图之间宽度和高度之间的缝隙
    fig = plt.figure()
    gs = fig.add_gridspec(2, 2, hspace=0, wspace=0)
    (ax1, ax2), (ax3, ax4) = gs.subplots(sharex='col', sharey='row')
    fig.suptitle('Sharing x per column, y per row')
    ax1.plot(x, y)
    ax2.plot(x, y ** 2, 'tab:orange')
    ax3.plot(x + 1, -y, 'tab:green')
    ax4.plot(x + 2, -y ** 2, 'tab:red')

    for ax in axs.flat:
        ax.label_outer()
    plt.show()

    # 复杂结构的共享轴代码
    fig, axs = plt.subplots(2, 2)
    axs[0, 0].plot(x, y)
    axs[0, 0].set_title("main")
    axs[1, 0].plot(x, y ** 2)
    axs[1, 0].set_title("shares x with main")
    axs[1, 0].sharex(axs[0, 0])
    axs[0, 1].plot(x + 1, y + 1)
    axs[0, 1].set_title("unrelated")
    axs[1, 1].plot(x + 2, y + 2)
    axs[1, 1].set_title("also unrelated")
    fig.tight_layout()
    plt.show()


def polar_axs():
    fig, (ax1, ax2) = plt.subplots(1, 2, subplot_kw=dict(projection='polar'))
    ax1.plot(x, y)
    ax2.plot(x, y ** 2)
    plt.title('polar axs')

    plt.show()


# 仅单表
single_plot()

# 仅单方向堆叠子表(垂直方向堆叠,水平方向堆叠)
stacking_plots_one_direction()

# 水平垂直堆叠子图
stacking_plots_two_directions()

# 共享轴
sharing_axs()

# 极坐标风格轴
polar_axs()

7. 图表中文本标注(箭头注释)

简单文本标注(只设置要标注的文本内容,起始位置),效果图如下:

# 表示在60,0.025处进行文本('$\mu=100,\ \sigma=15$')的标注, 
# 字符串前面的 r 很重要——它表示字符串是一个原始字符串,而不是将反斜杠视为 python 转义
plt.text(60, .025, r'$\mu=100,\ \sigma=15$')

在这里插入图片描述

文本标注箭头效果图如下:(需设置箭头起始位置,文本起始位置,文本值)

# 文本的一个常见用途是对绘图的某些特征进行注释,而 annotate 方法提供了辅助功能来简化注释。
# 在注释中,有两点需要考虑:由参数 xy 表示的被注释的位置和文本 xytext 的位置。这两个参数都是 (x, y) 元组。
plt.annotate('local max', xy=(2, 1), xytext=(3, 1.5),
                 arrowprops=dict(facecolor='yellow', shrink=0.05),
                 )

在这里插入图片描述

# 文本标注
import matplotlib.pyplot as plt
import numpy as np


# 简单文本注释
def simplt_text():
    mu, sigma = 100, 15
    x = mu + sigma * np.random.randn(10000)

    # 直方图数据
    n, bins, patches = plt.hist(x, 50, density=1, facecolor='g', alpha=0.75)

    # 设置x标签的文本,字体大小,颜色
    t = plt.xlabel('Smarts', fontsize=14, color='red')
    plt.ylabel('Probability')
    plt.title('Histogram of IQ', loc='left')

    # 表示在60,0.025处进行文本('$\mu=100,\ \sigma=15$')的标注, 字符串前面的 r 很重要——它表示字符串是一个原始字符串,而不是将反斜杠视为 python 转义
    plt.text(60, .025, r'$\mu=100,\ \sigma=15$')
    plt.axis([40, 160, 0, 0.03])
    plt.grid(True)
    plt.show()


# 箭头文本标注
def annotation_text():
    ax = plt.subplot()

    t = np.arange(0.0, 5.0, 0.01)
    s = np.cos(2 * np.pi * t)
    line, = plt.plot(t, s, lw=2)

    # 文本的一个常见用途是对绘图的某些特征进行注释,而 annotate 方法提供了辅助功能来简化注释。
    # 在注释中,有两点需要考虑:由xy: 箭头位置,xytext:文本位置。这两个参数都是 (x, y) 元组。
    plt.annotate('local max', xy=(2, 1), xytext=(3, 1.5),
                 arrowprops=dict(facecolor='yellow', shrink=0.05),
                 )

    plt.ylim(-2, 2)
    plt.show()


# 简单文本注释
simplt_text()

# 箭头文本标注
annotation_text()

8. 对数轴和其他非线性轴

线性轴 VS 对数轴 VS 线性对称轴 VS logit轴:

在这里插入图片描述

# matplotlib.pyplot 不仅支持线性轴刻度,还支持对数和 logit 刻度

import matplotlib.pyplot as plt
import numpy as np

# 线性轴 对数轴 对称对数轴 logit轴
def logit_plot():
    # 设置种子,以保证随机可重复性显现
    np.random.seed(19680801)

    # 在开区间(0,1)补充一些数据
    # 从正态(高斯)分布中抽取随机样本
    y = np.random.normal(loc=0.5, scale=0.4, size=1000)
    y = y[(y > 0) & (y < 1)]
    y.sort()
    x = np.arange(len(y))

    # 绘制不同坐标轴维度的数据
    plt.figure()

    # 线性
    plt.subplot(221)
    plt.plot(x, y)
    plt.yscale('linear')
    plt.title('linear')
    plt.grid(True)

    # 对数
    plt.subplot(222)
    plt.plot(x, y)
    plt.yscale('log')
    plt.title('log')
    plt.grid(True)

    # symmetric log对称对象轴
    plt.subplot(223)
    plt.plot(x, y - y.mean())
    plt.yscale('symlog', linthresh=0.01)
    plt.title('symlog')
    plt.grid(True)

    # logit
    plt.subplot(224)
    plt.plot(x, y)
    plt.yscale('logit')
    plt.title('logit')
    plt.grid(True)

    # 调整子图的布局,因为logit会占用比其他更多的空间,y在"1 - 10^{-3}"
    plt.subplots_adjust(top=0.92, bottom=0.08, left=0.10, right=0.95, hspace=0.25,
                        wspace=0.35)

    plt.show()

# matplotlib.pyplot 不仅支持线性轴刻度,还支持对数和 logit 刻度
# 线性轴 对数轴 对称对数轴 logit轴
logit_plot()

参考