leetcode_203 移除链表元素

54 阅读1分钟

要求

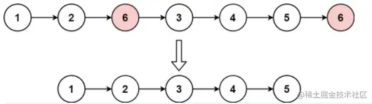
给你一个链表的头节点 head 和一个整数 val ,请你删除链表中所有满足 Node.val == val 的节点,并返回 新的头节点 。   示例 1:

image.png

输入:head = [1,2,6,3,4,5,6], val = 6
输出:[1,2,3,4,5]

示例 2:

输入:head = [], val = 1
输出:[]

示例 3:

输入:head = [7,7,7,7], val = 7
输出:[]

代码详解

class ListNode:
    def __init__(self, val=0, next=None):
        self.val = val
        self.next = next
class Solution:
    def removeElements(self, head: ListNode, val: int) -> ListNode:

        if not head:
            return head

        dummy = ListNode(-1)
        dummy.next = head

        pre,cur = dummy,head
        
        while cur:
            if cur.val == val:
                pre.next = cur.next
                cur.next = None
                cur = pre.next
            else:
                pre = cur
                cur = cur.next
        return dummy.next 

image.png

解题思路: 这个题是链表问题,注意next的值就行了,注意这个部分中有一个比较新颖的点就是创建了一个dummy的假头,我们可以用他拼接在我们的原有的连边上面,亦可以是一个新链表的开始。设置pre和cur的方式在链表中比较常见。