【高数】高数第七章节——微分方程概念&一阶微分方程&高阶微分方程

3,365 阅读3分钟

高数第七章节——微分方程概念&一阶微分方程&高阶微分方程

0、博主高数相关章节目录

高数第一章节——极限&无穷&连续与间断
高数第二章节——导数&求导法则&高阶导数&微分
高数第三章节——微分中值&洛必达&泰勒&单调性与凹凸性&作图&弧微分与曲率
高数第四章节——不定积分&换元积分&分部积分
高数第五章节——定积分&积分上限函数&牛顿——莱布尼兹公式&反常积分与广义积分
高数第六章节——平面图形的面积&旋转体体积&平面截面体体积&平面曲线的弧长&定积分在物理学中的应用
高数第七章节——微分方程概念&一阶微分方程&高阶微分方程
高数竞赛必背重点(随时更)

1、数列

1、微分方程的基本概念

1.1微分方程的定义

在这里插入图片描述

1.2 解微分方程

解微分方程是求导的逆运算
在这里插入图片描述

1.3 基本概念

在这里插入图片描述

2、一阶微分方程

2.1 微分方程的解

在这里插入图片描述

2.2 微分方程的通解不一定包括所有的解

在这里插入图片描述

2.3 微分方程解法一——可分离变量的微分方程

2.3.1 可分离变量的微分方程的定义 ϕ ( y ) d y = ψ ( x ) d x \phi(y)dy=\psi(x)dx ϕ(y)dy=ψ(x)dx

在这里插入图片描述

2.3.2 求通解的步骤

在这里插入图片描述

2.3.3 例题——两端积分求通解

在这里插入图片描述

2.4 微分方程解法二——一阶线性微分方程

在这里插入图片描述

2.4.1 线性齐次方程 d y d x + P ( x ) y = 0 \frac{dy}{dx}+P(x)y=0 dxdy​+P(x)y=0

在这里插入图片描述

2.4.2 线性非齐次方程 d y d x + P ( x ) y = Q ( x ) \frac{dy}{dx}+P(x)y=Q(x) dxdy​+P(x)y=Q(x)

2.4.2.1 待定系数

在这里插入图片描述
在这里插入图片描述
在这里插入图片描述

2.4.2.2 一阶线性方程解的结构

在这里插入图片描述

2.4.2.3 例题——一阶非齐次线性微分方程

在这里插入图片描述
在这里插入图片描述

2.4.3 伯努利方程 d y d x + P ( x ) y = Q ( x ) ∗ y n \frac{dy}{dx}+P(x)y=Q(x)*y^n dxdy​+P(x)y=Q(x)∗yn

2.4.3.1 伯努利方程的推导

在这里插入图片描述
在这里插入图片描述

2.4.3.2 伯努利方程的通解

在这里插入图片描述

3、高阶微分方程

3.1 微分方程解法三——可降阶的高阶微分方程

3.1.1 y ( n ) = f ( x ) y^{(n)}=f(x) y(n)=f(x)型的方程

在这里插入图片描述

3.1.2 y ′ ′ = f ( x , y ′ ) y''=f(x,y') y′′=f(x,y′)型的方程(不含未知数 y y y,含自变量 x x x)

3.1.2.1 定义

在这里插入图片描述

3.1.2.2 例题—— y ′ ′ = f ( x , y ′ ) y''=f(x,y') y′′=f(x,y′)型求原方程

在这里插入图片描述

在这里插入图片描述

3.1.3 不含有 y 、 y ′ 、 . . . 、 y ( k − 1 ) y、y'、...、y^{(k-1)} y、y′、...、y(k−1)

在这里插入图片描述

3.1.3.1 例题—— y 、 y ′ 、 . . . 、 y ( k − 1 ) y、y'、...、y^{(k-1)} y、y′、...、y(k−1)型例题

在这里插入图片描述

3.1.4 y ′ ′ = f ( y , y ′ ) y''=f(y,y') y′′=f(y,y′)型的方程(含未知数 y y y,缺自变量 x x x)

在这里插入图片描述

3.1.4.1 例题—— y ′ ′ = f ( y , y ′ ) y''=f(y,y') y′′=f(y,y′)型例题

在这里插入图片描述

在这里插入图片描述

3.2 微分方程解法四——高阶线性微分方程

3.2.1 二阶线性微分方程

d 2 y d x 2 + P ( x ) d y d x + Q ( x ) y = f ( x ) \frac{d^2y}{dx^2}+P(x)\frac{dy}{dx}+Q(x)y=f(x) dx2d2y​+P(x)dxdy​+Q(x)y=f(x)
在这里插入图片描述

3.2.2 二阶齐次方程的结构

在这里插入图片描述
在这里插入图片描述

3.2.3 二阶非齐次线性方程的解的结构

在这里插入图片描述

3.3 微分方程解法五——常系数齐次线性微分方程

3.3.1 常系数齐次线性微分方程定义

在这里插入图片描述

3.3.2 二阶常系数齐次线性微分方程的解

在这里插入图片描述

3.3.2.1 两个不相等实根( Δ > 0 \Delta>0 Δ>0)

在这里插入图片描述

3.3.2.2 两个相等实根( Δ = 0 \Delta=0 Δ=0)

在这里插入图片描述

3.3.2.3 一对共轭复根( Δ < 0 \Delta<0 Δ<0)

在这里插入图片描述

3.3.3.4 公式总结

在这里插入图片描述

3.3.4 n阶常系数齐次线性微分方程的解

在这里插入图片描述

3.4 微分方程解法六——二阶常系数非齐次线性微分方程

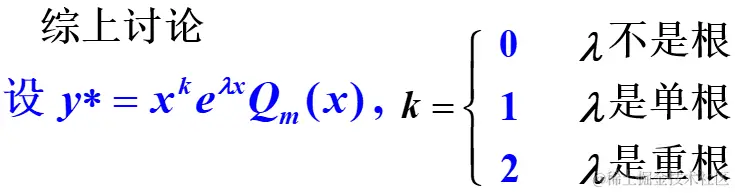
3.4.1 f ( x ) = e λ x P m ( x ) f(x)=e^{\lambda x}P_m(x) f(x)=eλxPm​(x)型

3.4.1.1 定义

在这里插入图片描述

3.4.1.2 例题

在这里插入图片描述
在这里插入图片描述

3.4.2 f ( x ) = e λ x [ P l ( x ) c o s ω x + P n ( x ) s i n ω ] f(x)=e^{\lambda x}[P_l(x)cos\omega x+P_n(x) sin\omega] f(x)=eλx[Pl​(x)cosωx+Pn​(x)sinω]型

3.4.2.1 求解公式

在这里插入图片描述
在这里插入图片描述

3.4.2.2 例题

在这里插入图片描述
在这里插入图片描述

3.4.2.3 生活中的应用

解决振动和共振一类用正余弦描述的物理问题