【高数】高数第五章节——定积分&积分上限函数&牛顿——莱布尼兹公式&反常积分与广义积分

819 阅读3分钟

高数第五章节——定积分&积分上限函数&牛顿——莱布尼兹公式&反常积分与广义积分

0、博主高数相关章节目录

高数第一章节——极限&无穷&连续与间断
高数第二章节——导数&求导法则&高阶导数&微分
高数第三章节——微分中值&洛必达&泰勒&单调性与凹凸性&作图&弧微分与曲率
高数第四章节——不定积分&换元积分&分部积分
高数第五章节——定积分&积分上限函数&牛顿——莱布尼兹公式&反常积分与广义积分
高数第六章节——平面图形的面积&旋转体体积&平面截面体体积&平面曲线的弧长&定积分在物理学中的应用
高数第七章节——微分方程概念&一阶微分方程&高阶微分方程
高数竞赛必背重点(随时更)

1、数列

1、定积分的概念与性质

1.1 定积分的定义

在这里插入图片描述

1.2 定积分的性质

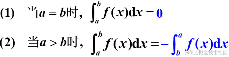
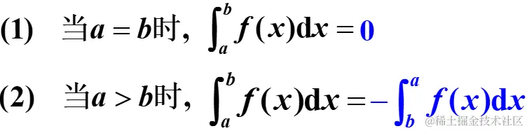
1.2.1 定积分的补充规定

在这里插入图片描述

1.2.2 定积分的性质一

在这里插入图片描述

1.2.3 定积分的性质二

在这里插入图片描述

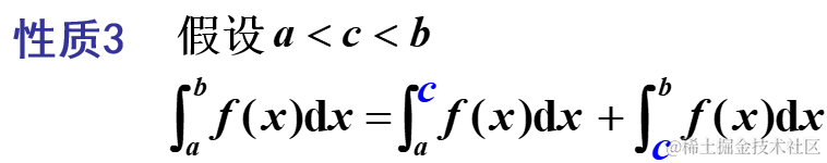
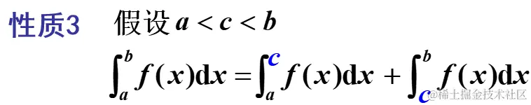
1.2.4 定积分的性质三

在这里插入图片描述

1.2.5 定积分的性质四

在这里插入图片描述

1.2.6 定积分的性质五

在这里插入图片描述

1.2.7 定积分的性质六

在这里插入图片描述

1.2.8 定积分的性质七

在这里插入图片描述

2、积分上限函数及其导数

2.1 定义

在这里插入图片描述

2.2 定理一 原函数存在定理

在这里插入图片描述

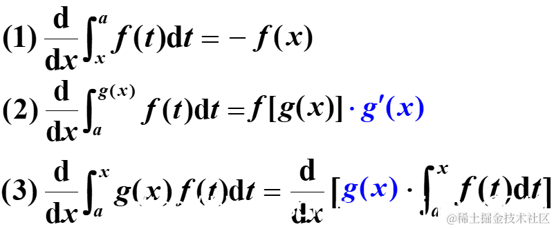
2.2.1 推论(变限函数)(important)

在这里插入图片描述

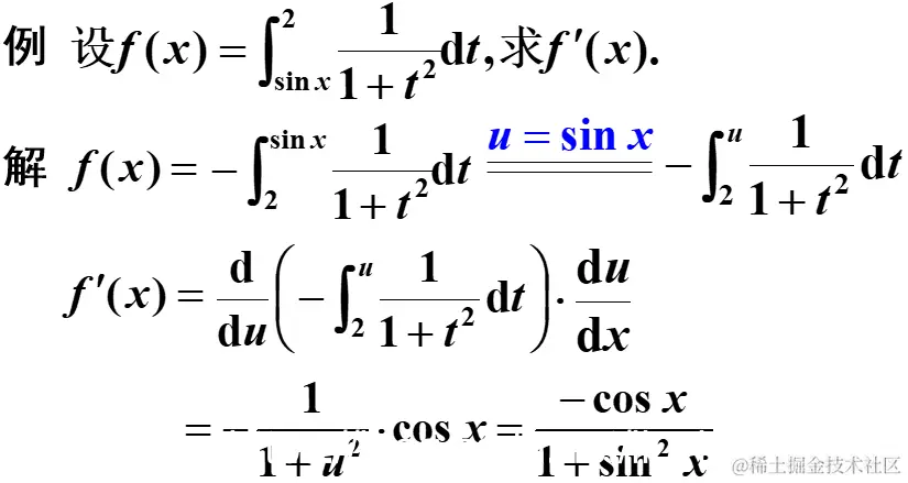
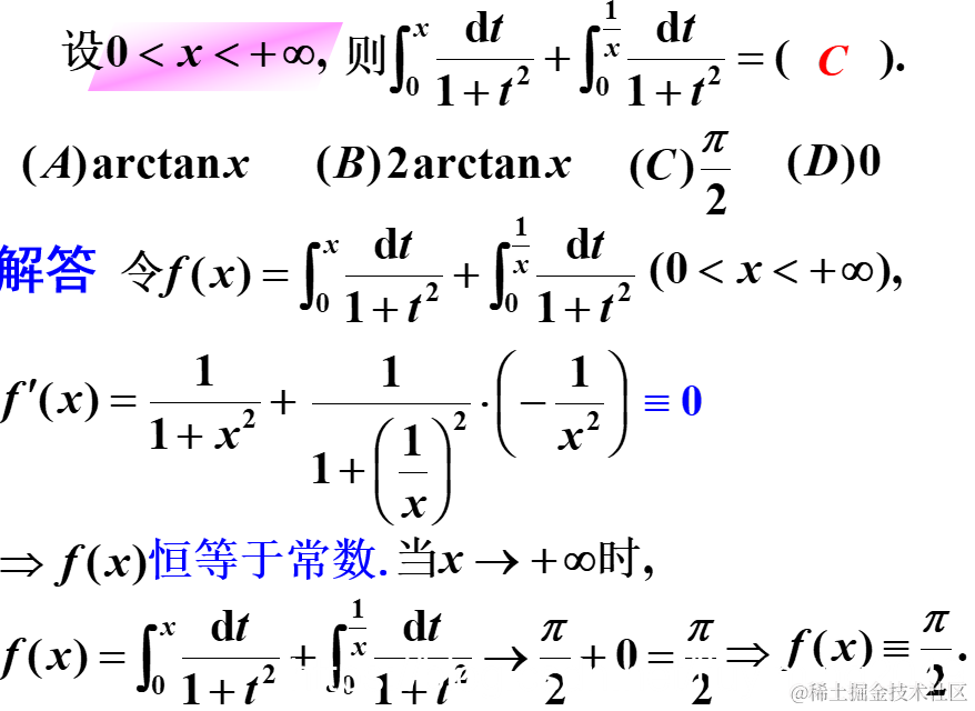
2.2.2 例题——复合变限函数求导

在这里插入图片描述

2.3 牛顿—莱布尼茨公式(important)

在这里插入图片描述

2.3.1 例题——极限为积分和的极限一(interesting)

在这里插入图片描述

2.3.2 例题——极限为积分和的极限二(interesting)

在这里插入图片描述

3、定积分的换元法和分部积分法(important)

3.1 定积分的换元法

在这里插入图片描述

3.2 奇偶函数对称性

在这里插入图片描述

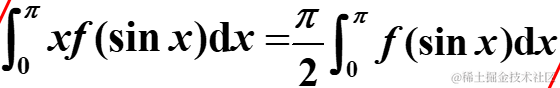
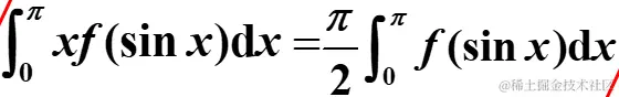
3.2.1 例题——对称计算(interesting)

在这里插入图片描述

在这里插入图片描述

3.3 定积分的分部积分

在这里插入图片描述

3、反常积分与广义积分

3.1 常义积分与反常积分的区别

在这里插入图片描述

3.2 反常积分的定义(important)

在这里插入图片描述
在这里插入图片描述

3.3 瑕积分

3.3.1 下界瑕点

在这里插入图片描述

3.3.2 上界瑕点

在这里插入图片描述

3.3.3 中间瑕点

在这里插入图片描述

3.3.4 例题——反常积分计算(important)

在这里插入图片描述

3.3.5 例题——易错点:区间内含有瑕点

在这里插入图片描述

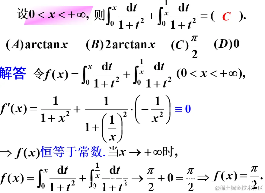
3.3.6 例题——难题,导数求解反常积分

在这里插入图片描述