【高数】高数第四章节——不定积分&换元积分&分部积分

1,005 阅读3分钟

高数第四章节——不定积分&换元积分&分部积分

0、博主高数相关章节目录

高数第一章节——极限&无穷&连续与间断
高数第二章节——导数&求导法则&高阶导数&微分
高数第三章节——微分中值&洛必达&泰勒&单调性与凹凸性&作图&弧微分与曲率
高数第四章节——不定积分&换元积分&分部积分
高数第五章节——定积分&积分上限函数&牛顿——莱布尼兹公式&反常积分与广义积分
高数第六章节——平面图形的面积&旋转体体积&平面截面体体积&平面曲线的弧长&定积分在物理学中的应用
高数第七章节——微分方程概念&一阶微分方程&高阶微分方程
高数竞赛必背重点(随时更)

1、数列

1、不定积分的概念与性质

1.1 原函数

在这里插入图片描述

1.2 不定积分

在这里插入图片描述

1.3 不定积分的性质

1.3.1 性质

在这里插入图片描述
在这里插入图片描述

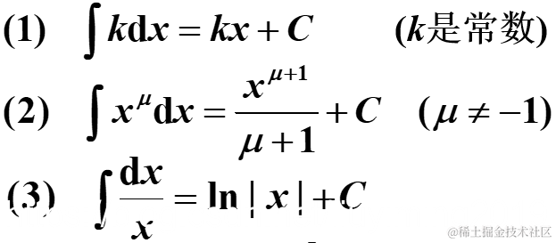
1.3.2 基本积分公式(important)

在这里插入图片描述

在这里插入图片描述

在这里插入图片描述

在这里插入图片描述

在这里插入图片描述

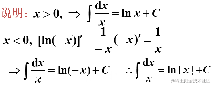
(3)的说明在这里插入图片描述

2、换元积分法

2.1 第一换元积分法

2.1.1 例题——法一:凑微分之三角函数分子有理化拆分

在这里插入图片描述

2.1.2 例题——法一:凑微分之凑 d x dx dx

在这里插入图片描述

2.2 第二换元积分法

2.2.1 定义

在这里插入图片描述

2.2.2 例题——法二:设参数回代

在这里插入图片描述

2.2.3 例题——法二:三角代换

在这里插入图片描述

在这里插入图片描述

2.2.4 例题——法三:倒数代换

在这里插入图片描述
在这里插入图片描述

2.2.5 例题——法四:根式代换

在这里插入图片描述
在这里插入图片描述

3、分部积分法

3.1 分部积分公式(important)

在这里插入图片描述

3.1.1 例题——合理使用分部积分

在这里插入图片描述

3.1.2 如何正确选择分部积分的"u",“dv”

在这里插入图片描述

3.2 有理函数的积分

3.2.1 定义

在这里插入图片描述

3.2.2 待定系数法

在这里插入图片描述
在这里插入图片描述

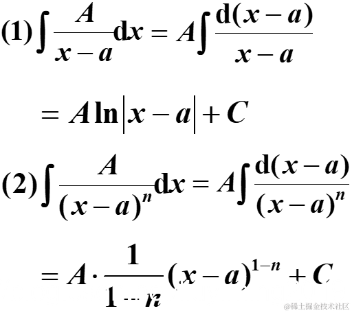
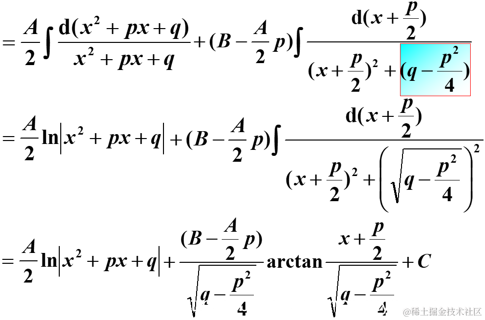
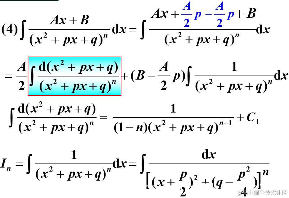
3.2.3 四种典型部分分式的积分

3.2.3.1 总述

在这里插入图片描述

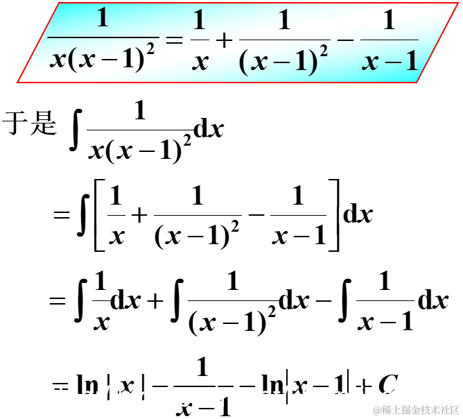
3.2.3.2 模型练习

在这里插入图片描述
在这里插入图片描述
在这里插入图片描述
在这里插入图片描述
在这里插入图片描述

3.2.4 有理函数积分的四种技巧

3.2.4.1 部分分式法,此法一般较为繁琐
3.2.4.2 拆项化简(分项积分)
3.2.4.3 换元法
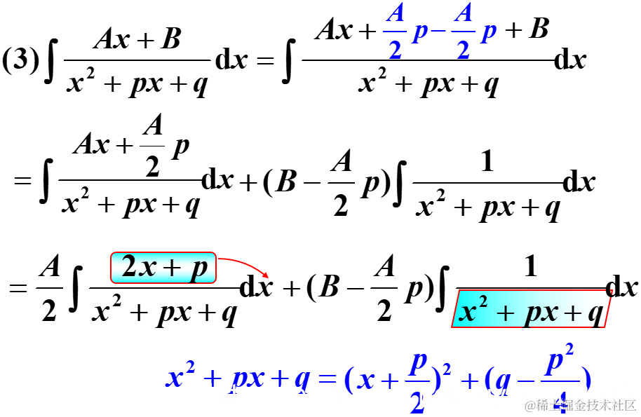
3.2.4.4 配方法

在这里插入图片描述

3.2.4.4.1 例题——配方法求解

在这里插入图片描述

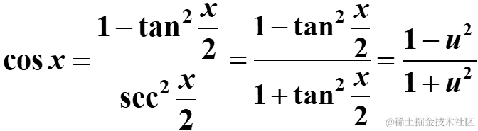
3.2.5 半角转换(万能转换)(important)

对象转化公式
s i n x sinx sinxs i n x = 2 u 1 + u 2 sinx=\frac{2u}{1+u^2} sinx=1+u22u​
c o s x cosx cosxc o s x = 1 − u 2 1 + u 2 cosx=\frac{1-u^2}{1+u^2} cosx=1+u21−u2​
d x dx dxd x = 2 1 + u 2 dx=\frac{2}{1+u^2} dx=1+u22​

在这里插入图片描述

在这里插入图片描述

3.2.6 熟悉三角函数的各种变化

在这里插入图片描述