【高数】高数第三章节——微分中值&洛必达&泰勒&单调性与凹凸性&作图&弧微分与曲率

411 阅读4分钟

高数第三章节——微分中值&洛必达&泰勒&单调性与凹凸性&作图&弧微分与曲率

0、博主高数相关章节目录

高数第一章节——极限&无穷&连续与间断
高数第二章节——导数&求导法则&高阶导数&微分
高数第三章节——微分中值&洛必达&泰勒&单调性与凹凸性&作图&弧微分与曲率
高数第四章节——不定积分&换元积分&分部积分
高数第五章节——定积分&积分上限函数&牛顿——莱布尼兹公式&反常积分与广义积分
高数第六章节——平面图形的面积&旋转体体积&平面截面体体积&平面曲线的弧长&定积分在物理学中的应用
高数第七章节——微分方程概念&一阶微分方程&高阶微分方程
高数竞赛必背重点(随时更)

1、数列

1、微分中值定理

1.1 罗尔定理

在这里插入图片描述

1.2 费马引理

在这里插入图片描述

1.2.1 费马引理的证明

在这里插入图片描述

1.3 拉格朗日中值定理

在这里插入图片描述

1.3.1 拉格朗日定理证明不等式

在这里插入图片描述

1.4柯西中值定理

在这里插入图片描述

2、洛必达法则

2.1 定理一 0 0 型 \frac{0}{0}型 00​型定理二 ∞ ∞ 型 \frac{\infty}{\infty}型 ∞∞​型求解

在这里插入图片描述
在这里插入图片描述

注意事项:洛必达法则后先看能否化简,能化简先给式子化简

2.2 洛必达局限性

2.2.1 导数比的极限不存在时,函数比的极限有可能存在

在这里插入图片描述

2.2.2 可能永远得不到结果

在这里插入图片描述

3、泰勒公式

3.1 拉格朗日型余项

在这里插入图片描述

3.2皮亚诺余项

在这里插入图片描述

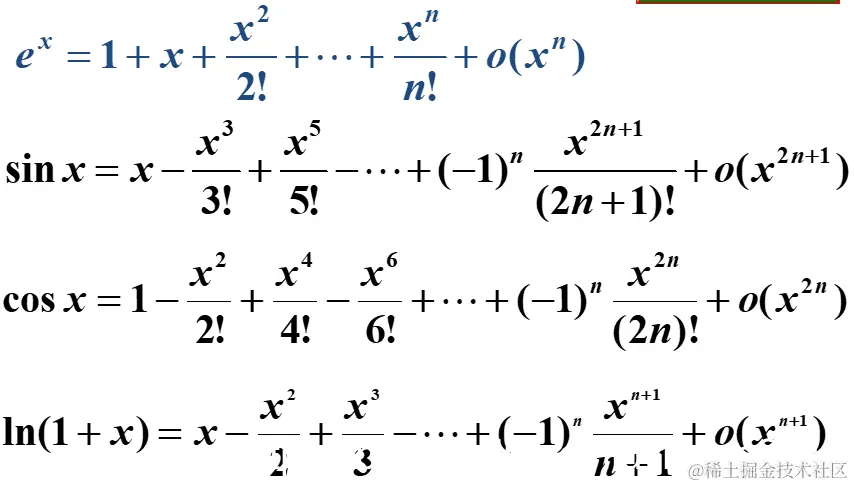
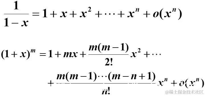
3.3 常用的麦克劳林公式(important)

在这里插入图片描述
在这里插入图片描述

4、函数的单调性与曲线的凹凸性

4.1 定理一单调性判别方法

在这里插入图片描述

4.2 定理二凹凸性判别方法

在这里插入图片描述

4.3 函数的极值

在这里插入图片描述

4.4 定理一 费马引理

在这里插入图片描述

4.5 定理二 极值的充分条件

在这里插入图片描述

在这里插入图片描述

4.6 定理三 极值的二阶条件

在这里插入图片描述

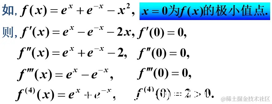
4.7 定理四 判断极大值极小值

在这里插入图片描述
在这里插入图片描述

4.8 最大值与最小值

选择所有驻点,导数不存在的点,区间端点依次作比较
在这里插入图片描述

4.8.1 例题—生活的应用:圆柱体的最大体积

在这里插入图片描述
在这里插入图片描述

5、函数作图

5.1 铅直渐近线

在这里插入图片描述

5.2 水平渐近线

在这里插入图片描述

5.3 斜渐近线

在这里插入图片描述

6、曲率

6.1 弧微分

6.1.1 定义

在这里插入图片描述

6.1.2 直角坐标弧微分

在这里插入图片描述

6.1.3 参数方程弧微分

在这里插入图片描述

6.1.4 极坐标弧微分

在这里插入图片描述

6.2 曲率

6.2.1 定义

在这里插入图片描述
在这里插入图片描述

6.2.2 曲率的计算公式

在这里插入图片描述

6.2.3 曲率的判定

在这里插入图片描述