【高数】高数第二章节——导数&求导法则&高阶导数&微分

1,313 阅读4分钟

高数第二章节——导数&求导法则&高阶导数&微分

0、博主高数相关章节目录

高数第一章节——极限&无穷&连续与间断
高数第二章节——导数&求导法则&高阶导数&微分
高数第三章节——微分中值&洛必达&泰勒&单调性与凹凸性&作图&弧微分与曲率
高数第四章节——不定积分&换元积分&分部积分
高数第五章节——定积分&积分上限函数&牛顿——莱布尼兹公式&反常积分与广义积分
高数第六章节——平面图形的面积&旋转体体积&平面截面体体积&平面曲线的弧长&定积分在物理学中的应用
高数第七章节——微分方程概念&一阶微分方程&高阶微分方程
高数竞赛必背重点(随时更)

1、数列

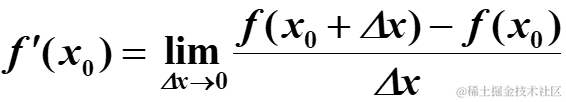
1、导数

在这里插入图片描述

1.1 例题—导数定义求导(important)

在这里插入图片描述

1.2 单侧导数

在这里插入图片描述

1.3 例题—判断是否可导

在这里插入图片描述

2、函数的求导法则

2.1 定理一 线性组合求导的传递性

在这里插入图片描述

2.2 定理二 反函数的求导法则

在这里插入图片描述

2.2.1 例题—利用反函数求导法则求导

在这里插入图片描述

2.3 定理三 复合函数的求导法则|链导法则(important)

在这里插入图片描述

2.4 基本求导法则与导数公式(important)|汇总

2.4.1 求导公式(important)

在这里插入图片描述

2.4.2 函数的线性组合、积、商的求导法则(important)

在这里插入图片描述

2.4.3 反函数的求导法则(important)

在这里插入图片描述

2.4.4 复合函数的求导法则

在这里插入图片描述

3、高阶导数

二阶导数: d 2 y d x 2 \frac{d^2y}{dx^2} dx2d2y​或 y ′ ′ y'' y′′或 f ( 2 ) ( x ) f^{(2)}(x) f(2)(x)
三阶导数: d 3 y d x 3 \frac{d^3y}{dx^3} dx3d3y​或 y ′ ′ y'' y′′或 f ( 3 ) ( x ) f^{(3)}(x) f(3)(x)
四阶导数: d 4 y d x 4 \frac{d^4y}{dx^4} dx4d4y​或 y ′ ′ y'' y′′或 f ( 4 ) ( x ) f^{(4)}(x) f(4)(x)
n n n阶导数: d n y d x n \frac{d^ny}{dx^n} dxndny​或 y ′ ′ y'' y′′或 f ( n ) ( x ) f^{(n)}(x) f(n)(x)

3.1 例题—高阶导数化简

在这里插入图片描述

3.2 莱布尼兹公式(important)

在这里插入图片描述

3.3 隐函数及由参数方程所确定的函数的导数

3.3.1 定义(important)

在这里插入图片描述

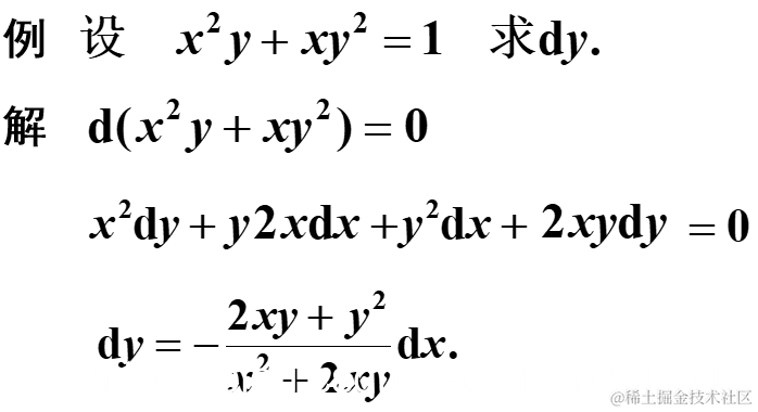
3.3.2 例题—隐函数求导法

在这里插入图片描述

隐函数求导:允许在 y ′ y' y′表达式中含有变量 y y y在这里插入图片描述

3.4 例题—对数求导法

在这里插入图片描述

3.5 例题—参数方程求导法

在这里插入图片描述

4、函数的微分

4.1 导数与微分的比较(importent)

在这里插入图片描述
导数是斜率,微分是 y y y的改变量

4.2 微分定义

在这里插入图片描述

4.3 微分公式与运算法则

d y = f ′ ( x ) d x dy=f'(x)dx dy=f′(x)dx

在这里插入图片描述
在这里插入图片描述

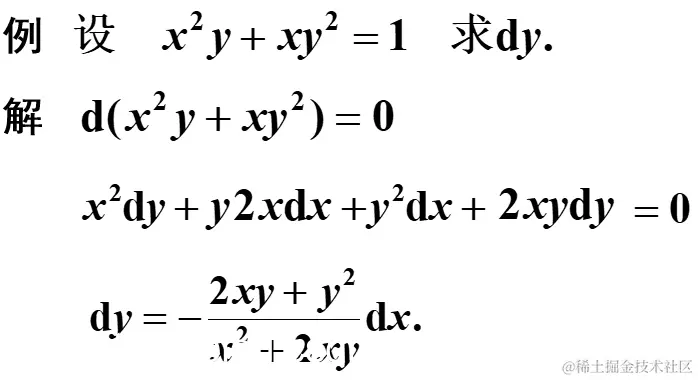
4.3.1 求微分

在这里插入图片描述

4.3.2 例题—微分在生活中的应用(interesting)

在这里插入图片描述

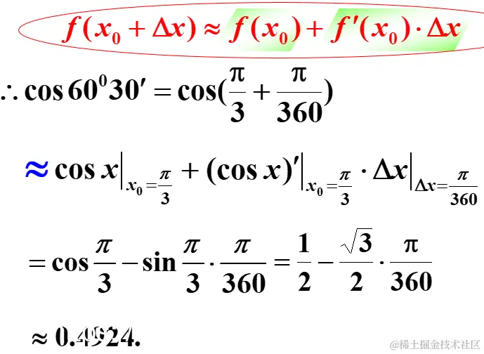
4.3.3 例题— f ( x + Δ x ) ≈ f ( x 0 ) + f ′ ( x 0 ) ∗ Δ x f(x+\Delta x)\approx f(x_0)+f'(x_0)*\Delta x f(x+Δx)≈f(x0​)+f′(x0​)∗Δx

在这里插入图片描述
在这里插入图片描述

4.3.4 例题—常用的一次近似公式: n 1 + x ≈ 1 + 1 n x ^{n}\sqrt{1+x}\approx1+\frac{1}{n}x n1+x ​≈1+n1​x

在这里插入图片描述