【高数】高数第一章节——极限&无穷&连续与间断

756 阅读6分钟

高数第一章节——极限&无穷&连续与间断

0、博主高数相关章节目录

高数第一章节——极限&无穷&连续与间断
高数第二章节——导数&求导法则&高阶导数&微分
高数第三章节——微分中值&洛必达&泰勒&单调性与凹凸性&作图&弧微分与曲率
高数第四章节——不定积分&换元积分&分部积分
高数第五章节——定积分&积分上限函数&牛顿——莱布尼兹公式&反常积分与广义积分
高数第六章节——平面图形的面积&旋转体体积&平面截面体体积&平面曲线的弧长&定积分在物理学中的应用
高数第七章节——微分方程概念&一阶微分方程&高阶微分方程
高数竞赛必背重点(随时更)

1、数列极限

1.1 定义(important)

在这里插入图片描述

1.2 例题—数列极限

在这里插入图片描述

1.3 收敛数列性质

1.3.1 有界性

收敛的数列必定有界
在这里插入图片描述

1.3.2 唯一性(important)

每个收敛数列只有一个数列极限

1.3.2.1 例题—证明数列不收敛

在这里插入图片描述

2、无穷小与无穷大

2.1 定义(important)

无穷小:极限为零的变量
无穷大:绝对值无限增大的变量

2.2 二者关系

在同一过程中,无穷大的倒数为无穷小;恒不为零的无穷小的倒数为无穷大

3、极限运算法则

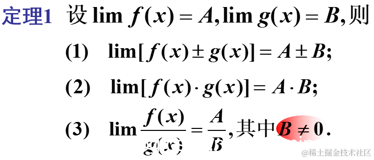
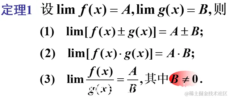
3.1 定理一 函数与函数

在这里插入图片描述

3.2 定理二 数列与数列

在这里插入图片描述

3.3 定理三 保号性

在这里插入图片描述

3.4 定理四 复合函数极限运算法则(important)

在这里插入图片描述

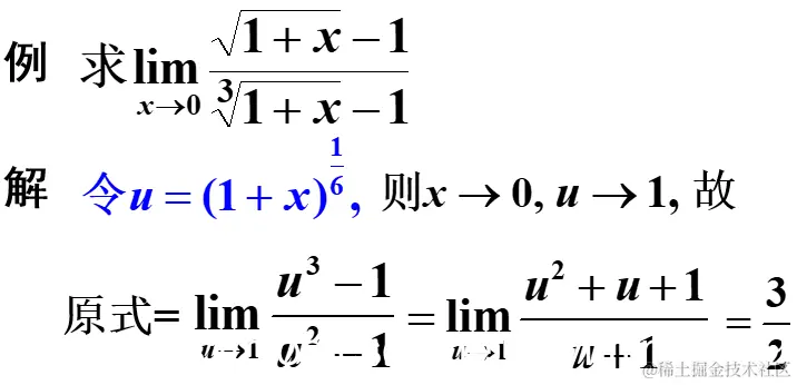
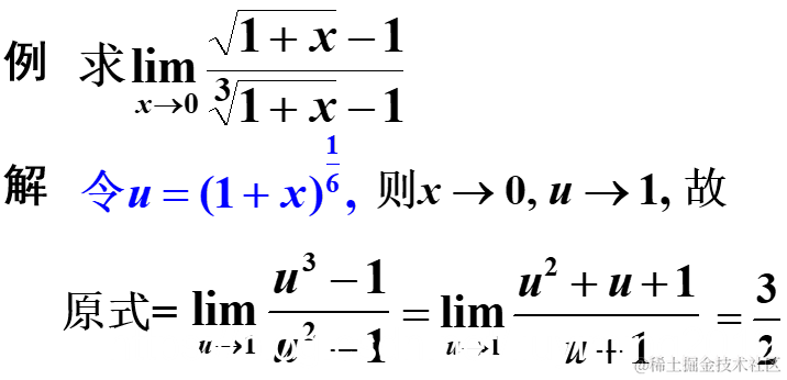
3.4.1 例题—变量代换求极限本质为复合函数求极限

在这里插入图片描述

4、极限存在准则&两个重要极限

4.1 极限存在准则

4.1.1 夹逼准则(important)

在这里插入图片描述

4.1.1.1 例题—夹逼准则重点缩放合理

在这里插入图片描述

4.1.2 单调有界准则

单调有界必有极限
在这里插入图片描述

4.1.2.1例题—单调有界存在极限

思路:确定是单调的,证明有上界或者下界

在这里插入图片描述

4.2 两个重要极限(important)

lim ⁡ x → 0 s i n x x = 1 \lim\limits_{x\to0}\frac{sinx}{x}=1 x→0lim​xsinx​=1

lim ⁡ x → ∞ ( 1 + 1 x ) x = e \lim\limits_{x\to\infty}(1+\frac{1}{x})^x=e x→∞lim​(1+x1​)x=e

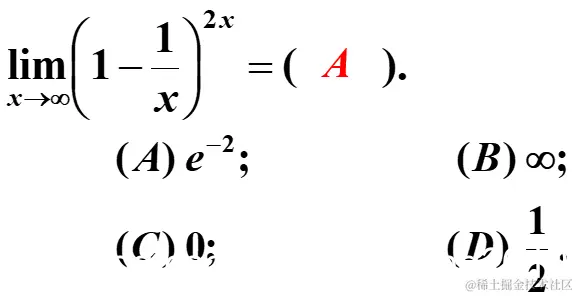
4.2.1 例题—公式的熟练运用,x趋于无穷,x前为正号

在这里插入图片描述

5、无穷小的比较

5.1 定义(important)

高阶无穷小即为更小,低阶无穷小即为没那么小,同阶即为等价,k阶无穷小即和某函数k阶为等价无穷小
在这里插入图片描述
在这里插入图片描述

5.2 常用等价无穷小(important)

在这里插入图片描述

5.3利用等价无穷小替换求极限

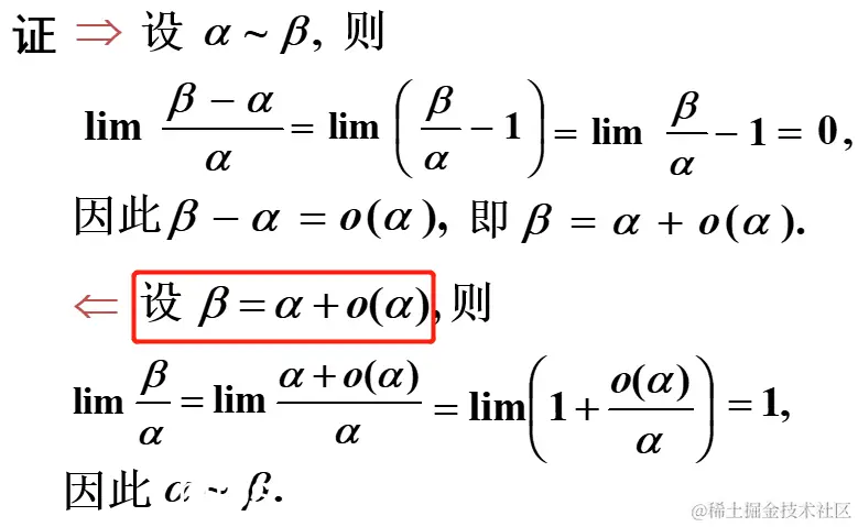
5.3.1 定理一

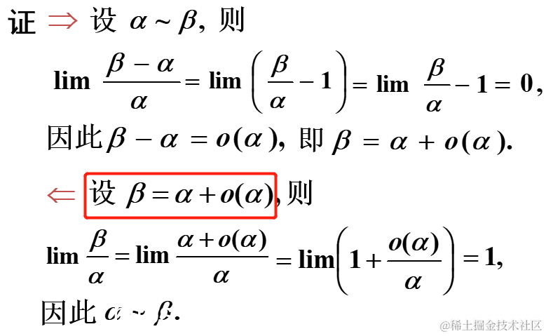
β ∼ α ⇔ = β = α + o ( α ) \beta\sim\alpha\Leftrightarrow=\beta=\alpha+o(\alpha) β∼α⇔=β=α+o(α)

5.3.1.1 例题—直接写等价无穷小o即可

在这里插入图片描述

5.3.2 定理二 等价无穷小替换定理(important)

必须是分子整体或者分子的部分因式;分母整体或者分母的部分因式才可以用替换定理
在这里插入图片描述

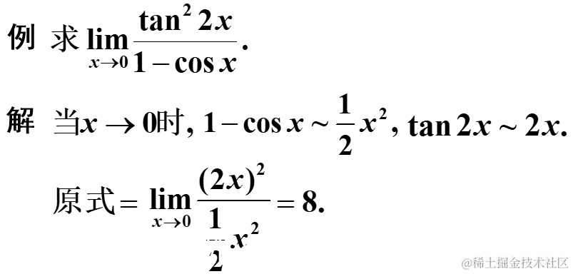
5.3.2.1 例题—等价无穷小替换定理求解

在这里插入图片描述

6、函数的连续与间断点

6.1 连续

6.1.1 左连续与右连续

在这里插入图片描述

6.1.2 定理一 证明连续性

即证间断点的左极限等于右极限
在这里插入图片描述

6.1.3 连续函数与连续区间

在这里插入图片描述

6.2 间断点及其分类

6.2.1 定义

在这里插入图片描述

6.2.2 分类(important)

在这里插入图片描述

6.2.3 直观图示(important)

无穷次振荡型举例: x = 0 x=0 x=0是 y = s i n ( 1 x ) y=sin(\frac{1}{x}) y=sin(x1​)的间断点,当 x → 0 x\to0 x→0时,函数值在 - 1 -1 -1与 1 1 1之间变动无限多次,所以 x = 0 x=0 x=0称为函数 y = s i n ( 1 x ) y=sin(\frac{1}{x}) y=sin(x1​)的振荡间断点

在这里插入图片描述

7、连续函数的运算与初等函数的连续性

7.1 定理一 连续函数的运算

在这里插入图片描述

7.2 定理二 单调的连续函数必有单调的连续反函数

7.3 定理三 复合函数的近似值相等

在这里插入图片描述

7.3.1 例题—复合函数连续性的证明(interesting)

在这里插入图片描述

7.4 定理四 复合函数的连续性

在这里插入图片描述

8、闭区间上连续函数的性质

8.1 最大值和最小值定理

8.1.1 定义

在这里插入图片描述

8.1.2 定理一 最大值和最小值定理

连续函数即闭区间上没有间断点
在这里插入图片描述

“闭区间”和“连续性”仅是定理的充分条件,而不是必要条件

8.1.3 定理二 有界性定理

在这里插入图片描述

8.1.4 定理三 方程实根的存在定理|零点定理(important)

在这里插入图片描述

8.1.5 定理四 介值定理

在这里插入图片描述

8.1.5.1 介值定理几何意义

在这里插入图片描述

8.1.5.2 例题—零点存在定理是介值定理的特殊情况

在这里插入图片描述