☆打卡算法☆LeetCode 25、 K 个一组翻转链表 算法解析

112 阅读2分钟

小知识,大挑战!本文正在参与“程序员必备小知识”创作活动。

推荐阅读

大家好,我是小魔龙,Unity3D软件工程师,VR、AR,虚拟仿真方向,不定时更新软件开发技巧,生活感悟,觉得有用记得一键三连哦。

一、题目

1、算法题目

“将给定的链表,每 k 个节点翻转一次,返回翻转后的链表。”

题目链接:

来源:力扣(LeetCode)

链接:25. K 个一组翻转链表 - 力扣(LeetCode) (leetcode-cn.com)

2、题目描述

给你一个链表,每 k 个节点一组进行翻转,请你返回翻转后的链表。

k 是一个正整数,它的值小于或等于链表的长度。

如果节点总数不是 k 的整数倍,那么请将最后剩余的节点保持原有顺序。

进阶:

  • 你可以设计一个只使用常数额外空间的算法来解决此问题吗?
  • 你不能只是单纯的改变节点内部的值,而是需要实际进行节点交换。

image.png

示例 1:
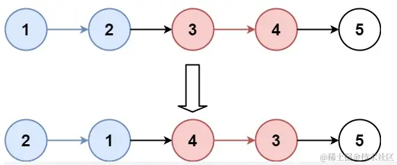
输入: head = [1,2,3,4,5], k = 2
输出: [2,1,4,3,5]

image.png

示例 2:
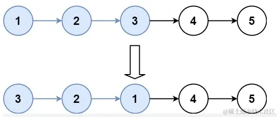
输入: head = [1,2,3,4,5], k = 3
输出: [3,2,1,4,5]

二、解题

1、思路分析

这个题需要考虑的细节很多,首先需要把链表节点按照 k 进行分组,然后使用指针依次指向每组的头结点,每次判断每组的长度是否大于 k,是的话翻转这组链表,否则不需要。

还需要使用两个变量,pre和end用来指向待翻转链表的头和尾,在经过k次循环后,end到达末尾,记录待翻转的链表next=end.next,翻转链表后,重置pre和end,进行下一次循环。

2、代码实现

代码参考:

public class Solution {
    public ListNode ReverseKGroup(ListNode head, int k) {
        List<ListNode> list = new List<ListNode>();
        ListNode p = head;
        for (int i = 0; i < k; i++)
        {
            if (head == null) { return p; }
            list.Add(head);
            head = head.next;
           
        }
        for (int i = 1; i < k; i++)
        {
            list[i].next = list[i - 1];
        }
        list[0].next = ReverseKGroup(head, k);
        return list[k - 1];
    }
}

image.png

3、时间复杂度

时间复杂度 : O(n)

其中n是链表的长度。

空间复杂度: O(1)

只需要建立常数个变量。

三、总结

有一个特殊情况需要注意,当翻转长度不够k时,定位到end完成后,end==null,说明已经到达链表末尾。

此时需要直接返回。