☆打卡算法☆LeetCode 24、两两交换链表中的节点 算法解析

113 阅读2分钟

小知识,大挑战!本文正在参与“程序员必备小知识”创作活动。

推荐阅读

大家好,我是小魔龙,Unity3D软件工程师,VR、AR,虚拟仿真方向,不定时更新软件开发技巧,生活感悟,觉得有用记得一键三连哦。

一、题目

1、算法题目

“将给定链表中相邻的节点交换,返回交换后的链表。”

题目链接:

来源:力扣(LeetCode)

链接:24. 两两交换链表中的节点 - 力扣(LeetCode) (leetcode-cn.com)

2、题目描述

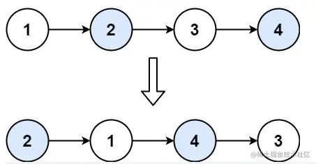
给定一个链表,两两交换其中相邻的节点,并返回交换后的链表。

你不能只是单纯的改变节点内部的值,而是需要实际的进行节点交换。

image.png

示例 1:
输入: head = [1,2,3,4]
输出: [2,1,4,3]
示例 2:
输入: head = [1]
输出: [1]

二、解题

1、思路分析

这个题可以采用递归的方式实现链表中相邻节点的交换。

递归的终止条件是链表中没有节点,或者链表中只有一个节点,这个时候无法进行交换。

那么接下来就是交换了,比如,链表中有两个节点,在交换节点后,原链表的头结点就变成新链表的第二个节点,原链表的第二个节点变成新链表的头结点。

其余节点递归地实现,递归地两两交换后,更新节点之间的指针关系,即可完成整个链表的交换。

2、代码实现

代码参考:

public class Solution {
    public ListNode SwapPairs(ListNode head) {
            //递归结束判断
            if (head?.next == null)
                return head;
            //替换
            var val = head.next.val;
            head.next.val = head.val;
            head.val = val;
            //递归
            SwapPairs(head.next.next);
            return head;
    }
}

image.png

3、时间复杂度

时间复杂度 : O(n)

其中 n 是链表的节点数量。需要对每个节点进行更新指针的操作。

空间复杂度: O(n)

其中 n 是链表的节点数量。空间复杂度主要取决于递归调用的栈空间。

三、总结

继续引用那句话,递归就像学霸学习,看似什么都没做,其实都做完了。